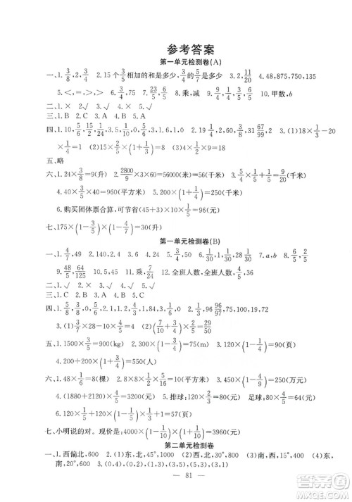
小编这次收集整理的是湖北教育出版社2019黄冈测试卷六年级数学上册人教版的答案,做完了之后可以来答案圈了解一下,看看自己做的对不对!

答案如下,仅供参考!








湖北教育出版社2019黄冈测试卷六年级语文上册人教版答案
2019-10-22 15:01:10
小编这次收集整理的是湖北教育出版社2019黄冈测试卷六年级语文上册人教版的答案,做完了之后可以来答案圈看看,当然其他学科的和其他年级的也有收集整理,直接在站内搜黄冈测试卷
湖北教育出版社2019黄冈测试卷八年级生物上册答案
2019-10-08 16:10:58
小编这次收集整理的是湖北教育出版社2019黄冈测试卷八年级生物上册的答案,做完了之后可以来答案圈看看哦!湖北教育出版社2019黄冈测试卷八年级生物上册答案答案如下,仅供参考,不
湖北教育出版社2019黄冈测试卷七年级地理上册答案
2019-10-08 15:58:36
小编这次收集整理的是湖北教育出版社2019黄冈测试卷七年级地理上册的答案,做完了之后可以来答案圈看看哦!湖北教育出版社2019黄冈测试卷七年级地理上册答案答案如下,仅供参考,不
湖北教育出版社2019黄冈测试卷七年级生物上册答案
2019-10-08 15:46:11
小编这次收集整理的是湖北教育出版社2019黄冈测试卷七年级生物上册的答案,做完了之后可以来答案圈看看哦!湖北教育出版社2019黄冈测试卷七年级生物上册答案答案如下,仅供参考,不