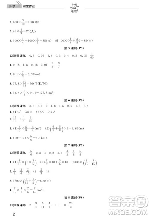
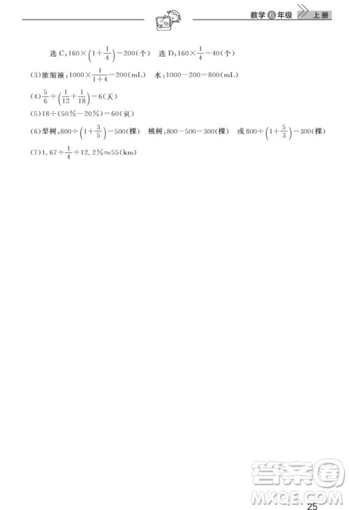
小编这次收集整理的是武汉出版社2019天天向上课堂作业六年级数学上册的答案,做完了可以来答案圈核对一下,看看自己做的对不对了。

ISBN9787558222870武汉出版社2019年8月第一版第2次印刷,课堂作业编写组编写。

























以上便是小编收集整理的答案了!
武汉出版社2019天天向上课堂作业5年级英语上册答案
2019-09-06 10:40:41
小编这次收集整理的是武汉地区比较常用的课堂作业天天向上系列的课堂作业五年级英语上册的答案,使用这个版本的可以来答案圈了解一下!武汉出版社2019天天向上课堂作业5年级英
武汉出版社2019天天向上课堂作业4年级数学上册答案
2019-09-06 09:44:08
小编收集整理的是武汉出版社2019天天向上课堂作业4年级数学上册答案,在做完之后可以来答案圈了解一下哦!武汉出版社2019天天向上课堂作业4年级数学上册答案ISBN9787558222856
武汉出版社2019天天向上课堂作业三年级数学上册参考答案
2019-09-06 09:01:23
小编这次收集整理的是武汉出版社2019年最新版本的天天向上课堂作业三年级数学上册参考的答案,做完了可以来看看哦,这个教辅还是很多武汉地区学校在使用的!武汉出版社2019天天向
武汉出版社2019天天向上课堂作业六年级下册英语剑桥版答案
2019-02-28 10:39:31
小编这次收集整理的是武汉出版社天天向上课堂作业本六年级英语下册的答案,做完了之后可以来答案圈看看啊!武汉出版社2019天天向上课堂作业六年级下册英语剑桥版答案ISBN978755
2019武汉出版社课堂作业答案