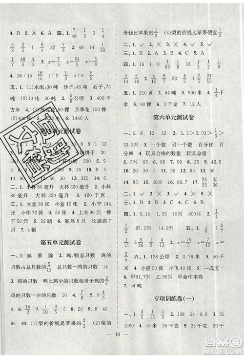
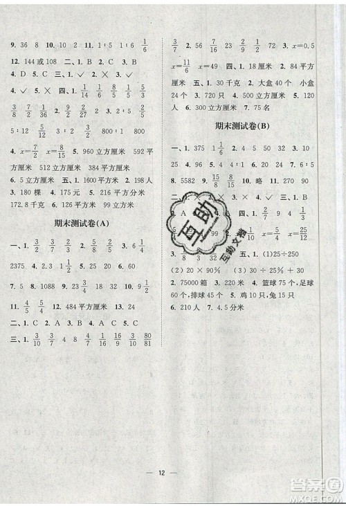
江苏凤凰美术出版社2019课时金练数学六年级上江苏版参考答案,这个是苏教版的,同学们仔细核对一下不要错过哦!

江苏凤凰出版社出版,9787534445811答案。












江苏凤凰美术出版社2019课时金练英语六年级上6A江苏版参考答案
2019-09-05 14:48:12
江苏凤凰美术出版社2019课时金练英语六年级上6A江苏版参考答案如下,大家可以看看封面上的标识,如果版本一致就继续往下看吧!江苏凤凰美术出版社2019课时金练英语六年级上6A江苏
芝麻开花2019年课程新体验三年级上册数学北师大版答案
2019-09-05 14:40:32
课程新体验是很多小学的同步辅导练习册,针对性的为学生做出课后巩固学习安排,小编整理了相应的答案,大家练习完可以来看看哦芝麻开花2019年课程新体验三年级上册数学北师大版答
江苏凤凰美术出版社2019课时金练数学五年级上江苏版参考答案
2019-09-05 14:30:51
江苏凤凰美术出版社2019课时金练数学五年级上江苏版参考答案已经整理出来放在下面啦,使用此教材的同学快来核对呀!江苏凤凰美术出版社2019课时金练数学五年级上江苏版参考答案
2019小学新课程学习与测评单元双测四年级数学上册A版答案
2019-09-05 14:23:43
小编这次收集整理的是小学新课程学习与测评单元双测四年级数学上册A版的答案,在做完之后可以来答案圈了解一下,看看自己做的对不对!2019小学新课程学习与测评单元双测四年级数
课时金练系列答案