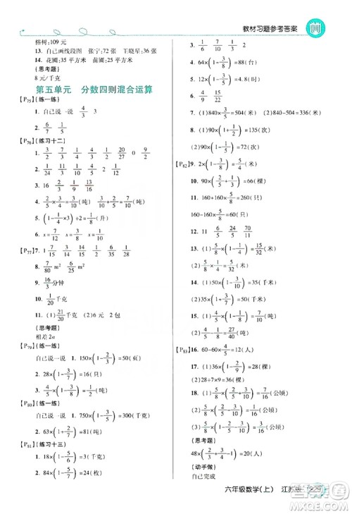
小编这次收集整理的是2019倍速学习法教材导学练六年级数学上册江苏版的答案,在做完之后可以来答案圈了解一下,看看自己的答案是否正确!

开明出版社出版,六年级上册,江苏版,课本一对一讲解,快来看看吧!














以上便是全部答案内容了!
2018新版万向思维倍速学习法九年级物理人教版参考答案
2018-11-02 10:58:37
2018新版万向思维倍速学习法九年级物理人教版参考答案,小编已经整理在答案圈,人教版使用范围最广的教材,希望能帮助大家2018新版万向思维倍速学习法九年级物理人教版参考答案I
直通中考版2019版倍速学习法九年级化学上册鲁教版LJ参考答案
2018-11-02 10:46:38
直通中考版2019版倍速学习法九年级化学上册鲁教版LJ参考答案,小编已经整理在答案圈了,需要化学高效学习法的可以来看看直通中考版2019版倍速学习法九年级化学上册鲁教版LJ参
万向思维初中辅导书2018秋倍速学习法九年级上册物理江苏科技版参考答案
2018-11-02 10:28:05
万向思维初中辅导书2018秋倍速学习法九年级上册物理江苏科技版参考答案,针对江苏地区的教辅更符合学生学习习惯,感兴趣的来了解一下万向思维初中辅导书2018秋倍速学习法九年
2019版倍速学习法九年级上册物理教科版参考答案
2018-11-02 10:12:16
2019版倍速学习法九年级上册物理教科版参考答案,小编已经整理在答案圈了,想提高物理学习的来答案圈看看吧2019版倍速学习法九年级上册物理教科版参考答案ISBN编号:9787552255
2019倍速学习法上学期答案