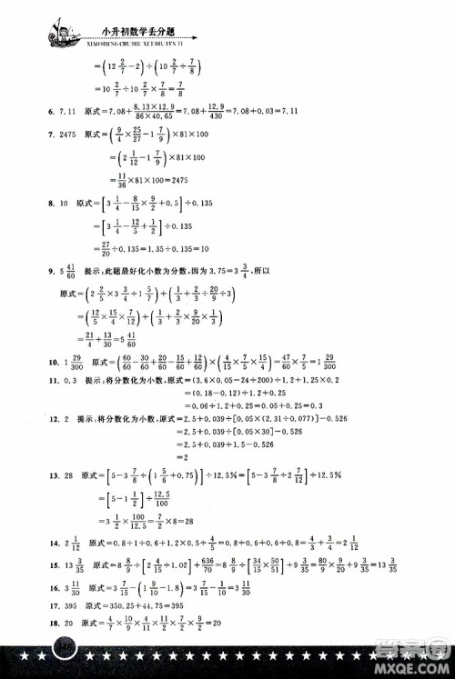
2019年小升初丢分题数学参考答案小编已经整理好了,感兴趣的伙伴注意查看哦

书名: 小升初丢分题数学ISBN编号: 9787535199690,出版社:湖北教育出版社


















































一、首先要了解这段时间男孩子的特点。六年级到初二阶段的男孩子还不够成熟,自我约束能力还比较差,自律性也不够强,而且有可能会进入到一个叛逆期。你越是叫他做什么,他越是不做,他觉得他长大了你还这个管他那个管他,他会有不好的情绪,这个不好的情绪也会影响到学习,这种厌烦就变成了对学习的厌烦。不要呵斥,不要打,要注意方法引导。和他玩得好的伙伴、比他大的知心哥哥比你说话有用多了。找恰当的人给他沟通引导。
二、让他学习中产生成就感。他如果平时学习成绩就不怎么样,他会越来越不爱学习,这个时候小升初压力大,经常模拟试,比对成绩比以往都要多,班内同学很多很优秀,他有可能自卑感增强,对自己的否定也特别多。你要多表扬他、鼓励他,和老师沟通让他多点课堂展现,肯定他多一点再多一点。学习中的一小点优点都要扩大化。
三、有良好的及时反馈,他才能坚定信念。其实很多时候大人们跟孩子们说要努力读书,他们不知道这么努力是为了什么,你跟他说考上好的中学,考上好的大学,找好的工作,这样是激励不了他的,因为这么长远的发展对他来说还太远,战线拉得太长了,成就感从何而来?我布置背古诗任务给我儿子时,他刚背一首两首很有兴趣,要他背多了就不耐烦了。怎么办呢?尽快反馈。我在喜马拉雅电台给他录他背的古诗,他听着他的声音,他知道我把他的声音分享了全班同学听和老师听,老师也表扬了他,他很有成就感,他觉得背古诗是有意义的。他的声音好听,他受到表扬,他得到了及时的反馈。再给他规定每日任务常规化就好了。你可以引导他和优秀的孩子一起学习,他们做的作业自然间就有反馈很快就来,他比我快算出数学题,我差一点,我下次再努力。这道题他做对了,我做错了,我哪点知识点欠缺。
2019年4月辽宁金太阳联考高三数学参考答案
2019-04-16 13:57:33
2019年4月辽宁金太阳联考高三数学参考答案小编已经整理好了,感兴趣的伙伴注意查看哦2019年4月辽宁金太阳联考高三文科数学参考答案2019年4月辽宁金太阳联考高三理科数学参考
黉门云2019年高三等值试卷预测卷文科数学参考答案
2019-04-15 10:38:03
黉门云2019年高三等值试卷预测卷文科数学参考答案小编已经收集整理好了,感兴趣的来答案圈查看黉门云2019年高三等值试卷预测卷文科数学参考答案其他科目的答案小编也有整理,大
2019春新编基础训练七年级下册沪科版数学参考答案
2019-04-09 13:28:07
这次小编收集整理的是2019春新编基础训练七年级下册沪科版数学参考答案,需要参考的伙伴注意查看2019春新编基础训练七年级下册沪科版数学参考答案书名: 新编基础训练七年级下
2019初中同步测控优化设计九年级下册北师大版数学参考答案
2019-04-04 14:39:19
小编收集了2019初中同步测控优化设计九年级下册北师大版数学参考答案,快检查吧2019初中同步测控优化设计九年级下册北师大版数学参考答案本书是北京师范大学出版社出版的,答案