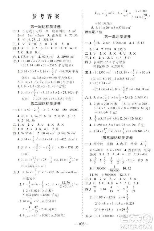
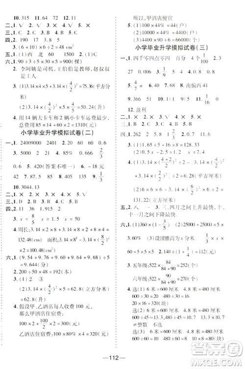
小编收集了2019年春北师BS版优加全能大考卷六年级下册数学答案,感兴趣的学生请及时核对一下吧

ISBN编号: 9787546941561 出版社:甘肃民族出版社 出版时间:2018年12月 主编:苗雪莉








一,家长讲诚信。例如,说做几题就几题,说学多少分钟就多少分钟。孩子也可以放心地信任家长,便于长期管理。
二、孩子成绩不理想,不能太严厉责备。孩子也想取得好成绩。抓住此心理,督促孩子讲诚信,按家长与孩子商量的计划行事。
三、成绩好,不进行物质奖励。告诉孩子学习与吃饭一样,是自己分内之事,与父母上班养家糊口一样无条件。当然家长看见考得好,也可以买他喜欢的东西,理由不是考得好,而是高兴或其他原因。孩子心理自然明白。
四、教育孩子不是一朝一夕之功,得长期打算,不以几次成败而固定想法。
五、了解孩子课本与作业,这样可以大致了解孩子需要掌握的知识,以及那些地方欠缺,可以提醒孩子那些地方需要重点复习。
六、以身作则。孩子在家、特别是写作业看书时,家长做正事,可以看书或做家务等,这段时间最好不看电视不上网。
2019春优加全能大考卷五年级数学北师版BS下册答案
2019-03-27 10:29:41
小编收集了2019春优加全能大考卷五年级数学北师版BS下册答案,感兴趣的学生请及时了解一下吧2019春优加全能大考卷五年级数学北师版BS下册答案ISBN编号: 9787542141576 出版社
2019春人教版RJ升级版优加全能大考卷五年级语文下册答案
2019-03-27 10:20:29
小编收集了 2019春人教版RJ升级版优加全能大考卷五年级语文下册答案,有需要的学生请及时核对吧2019春人教版RJ升级版优加全能大考卷五年级语文下册答案ISBN编号: 97875543140
2019年春优加全能大考卷五年级下册英语人教PEP版参考答案
2019-03-27 09:59:50
小编收集了2019年春优加全能大考卷五年级下册英语人教PEP版参考答案,感兴趣的学生请及时核对一下吧2019年春优加全能大考卷五年级下册英语人教PEP版参考答案ISBN编号: 978754
2019年春优加全能大考卷人教RJ版四年级下册语文答案
2019-03-27 09:45:02
小编收集了2019年春优加全能大考卷人教RJ版四年级下册语文答案,需要答案的学生请及时核对吧2019年春优加全能大考卷人教RJ版四年级下册语文答案ISBN编号: 9787551314022 出版