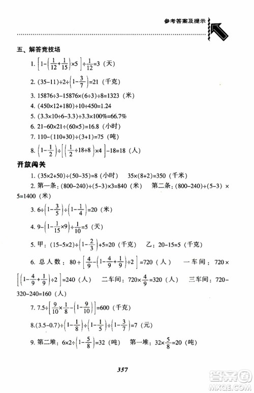
北师版2019年尖子生题库小学六年级下册数学BS版参考答案小编已经收集整理好了,感兴趣的来答案圈查看

ISBN编号: 9787538280616书名: 尖子生题库六年级数学北师版,出版社名称: 辽宁教育出版社





















































一、一顾的学习并不是真正的解决方式,适当的玩耍能够缓解学习带来的脑力疲劳,10岁左右本身就是小孩子最爱玩的时期,不能给他太多压力,学习诚然重要,但是孩子的心理状态一定要着重把握。我本人从小学到大学期间从未补习过,也能够顺利考上大学;
二、找机会真正的与孩子聊聊天,了解孩子目前的需求,以及为什么学习差的原因。然后针对相应的问题,找出解决方案;
三、如果孩子成绩确实有点差,不能够去“好学校”,我个人认为可以选择性的留级。一年的时间并不长,能给孩子提供缓冲的时间,并且缓解压力,对于孩子未必不是好事!
2019年尖子生新课堂课时作业九年级下数学BS版北师版参考答案
2019-03-26 10:04:11
2019年尖子生新课堂课时作业九年级下数学BS版北师版参考答案小编已经收集整理好了,感兴趣的来答案圈看看2019年尖子生新课堂课时作业九年级下数学BS版北师版参考答案本书由辽
2019年尖子生题库数学九年级下册BS版北师版参考答案
2019-03-26 09:36:54
2019年尖子生题库数学九年级下册BS版北师版参考答案小编 已经收集整理好了需要核对参考的来答案圈查看2019年尖子生题库数学九年级下册BS版北师版参考答案ISBN编号: 9787554
上教版2019年尖子生题库九年级英语下参考答案
2019-03-26 09:22:53
上教版2019年尖子生题库九年级英语下参考答案小编已经收集整理好了,需要核对参考的伙伴注意 查看哦上教版2019年尖子生题库九年级英语下参考答案ISBN编号: 9787538279221,书名
2019年尖子生题库九年级物理上册下册R版人教版参考答案
2019-03-26 09:07:39
2019年尖子生题库九年级物理上册下册R版人教版参考答案小编已经收集整理好了,需要参考的伙伴练习后来答案圈查看哦2019年尖子生题库九年级物理上册下册R版人教版参考答案ISBN