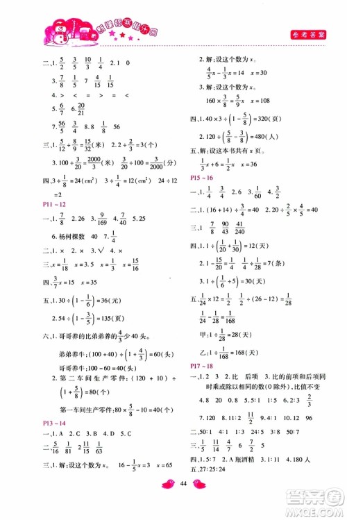
2019年新课标寒假乐园六年级数学参考答案小编已经收集整理好了,需要核对参考的伙伴注意查看哦

本书由北京教育出版社出版,其他科目的答案小编也有收集整理大家直接在答案圈搜索即可




学习数学,首先要跟老师学习。老师把课本上的例题掰开揉碎了进行讲解,你听懂了没有?听懂了,你练习了没有?练习了,你做对了没有?课后习题,你都会做了没有?教辅读物,你加强练习了没有?书山有路勤为径!
学习数学,计算训练非常重要。没有一定的速度,大脑就会停滞。在计算训练中掌握计算的技巧。比如11*24=264,我只用一秒钟出答案。可能有的孩子需要算一分钟。
学习数学,弄清各种数量关系很重要。在生活中去体验速度*时间=路程,单价*数量=总金额,工作效率*时间=工作量等等。
学习数学,动手做折纸、画图体验图形。对于长方形,正方形,平行四边形,菱形,三角形,圆形等平面图形,画一画,折一折,了解周长和面积。对于长方体,正方体,圆柱体,圆锥体等立体图形,可以在生活中观察实物去感受。看看如何去计算表面积和体积。没有生活体验,大脑一片空白。
至于英语,那是语言表达的工具。你学会了母语,难道你还不明白吗?那是你主动模仿练习的结果。听说读写四个环节不可或缺。主动创造学习英语的小环境,多多模仿,多读多背多做题。投入了时间,主动摸索学习方法,何愁学不好英语!
2019年新课标寒假乐园六年级语文参考答案
2019-02-13 09:48:37
2019年新课标寒假乐园六年级语文参考答案小编已经收集整理好了,需要核对参考的伙伴注意查看哦2019年新课标寒假乐园六年级语文参考答案本书由北京教育出版社出版,其他科目的答
2019高考英语核按钮考点突破全国新课标学案人教版答案
2019-02-13 09:26:37
高考核按钮系列小编这次收集整理的是考点突破的英语人教版的答案,感兴趣的可以来看看!2019高考英语核按钮考点突破全国新课标学案人教版答案ISBN9787558219078武汉出版社青出
2019年寒假乐园3英语阅读四年级辽师版参考答案
2019-02-13 09:22:18
2019年寒假乐园3英语阅读四年级辽师版参考答案小编已经收集整理好了,感兴趣的来答案圈查看2019年寒假乐园3英语阅读四年级辽师版参考答案ISBN编号: 9787565211928书名: 寒假
2019年四年级数学R版寒假乐园参考答案
2019-02-13 08:39:33
2019年四年级数学R版寒假乐园参考答案小编已经收集整理好了,感兴趣的伙伴可以来答案圈看看2019年四年级数学R版寒假乐园参考答案ISBN编号: 9787565211607书名: 寒假乐园数学