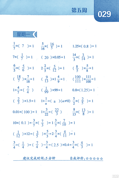
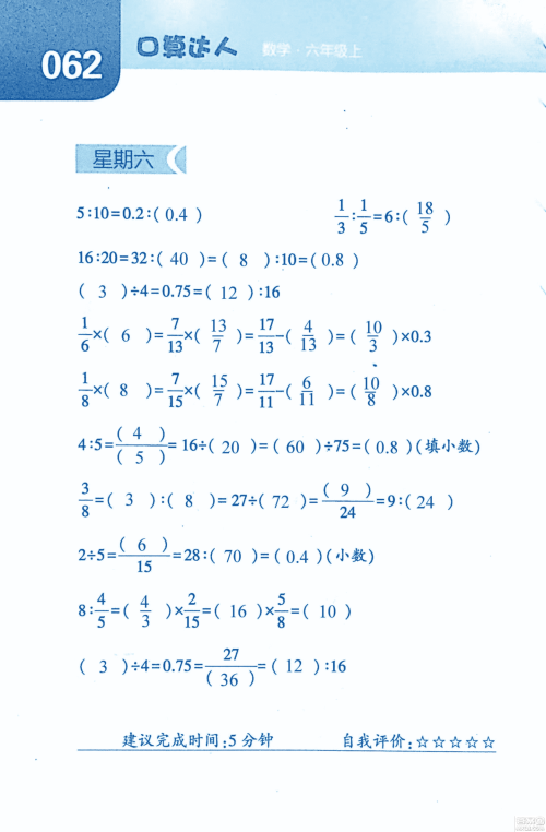
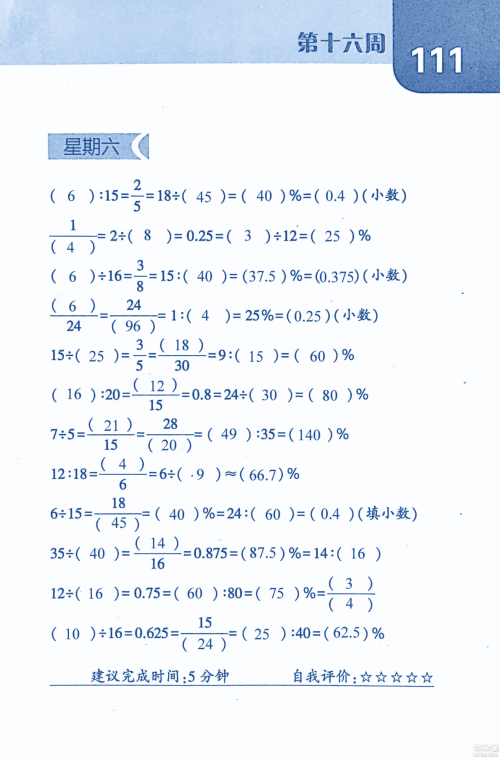
2018年经纶学典口算达人六年级数学上册人教版参考答案小编已经整理好了,小朋友练习完来答案圈核对一下,可以更好地提高自己的计算能力哦

出版社名称: 宁夏人民教育出版社出版书名: 口算达人ISBN编号: 9787554415924,李朝东主编












































































































































提高学习效率先从有条理的生活开始。很多人都知道,我们每天的学校学习生活基本一致。重复再重复,但有很多人就一直这么重复着,自己一点条理性都没有,就连早上起来先刷牙之后再洗脸然后穿衣服的逻辑顺序都理不清。所以请注意,想提高学习效率,首先要有一个良好的作息习惯,作息习惯好了学习习惯自然也会好了。
上课一定要集中注意力,有的同学认为这节课内容已经听懂了,于是边听课边做其他作业,以为这样可以提高学习效率,错!课堂上老师所讲的方法与内容绝对很少是废话的,一定要认真听并做好笔记。
休息是为了更好地学习,初中与高中一般下午课也有三四节,中午没午休,下午听课的效率绝对不高,晚上熬夜,绝对会影响第二天的学习。
2018年修订版经纶学典口算达人六年级数学上册江苏国际参考答案
2018-12-29 10:39:56
2018年修订版经纶学典口算达人六年级数学上册江苏国际参考答案小编已经整理在答案圈了,需要核对的小伙伴练习完来答案圈核对一下哦2018年修订版经纶学典口算达人六年级数学上
2018年长江作业本同步练习册七年级上册道德与法治人教版参考答案
2018-12-29 09:31:24
2018年长江作业本同步练习册七年级上册道德与法治人教版参考答案小编已经收集好了,需要核对参考的伙伴及时来答案圈查看2018年长江作业本同步练习册七年级上册道德与法治人教
世纪金榜2018年课时讲练通人教版语文选修中国古代诗歌散文欣赏参考答案
2018-12-28 14:11:06
世纪金榜2018年课时讲练通人教版语文选修中国古代诗歌散文欣赏参考答案小编已经整理好,需要核对参考的伙伴及时来答案圈查看世纪金榜2018年课时讲练通人教版语文选修中国古代
世纪金榜2018年课时讲练通语文必修5人教版参考答案
2018-12-28 13:54:47
世纪金榜2018年课时讲练通语文必修5人教版参考答案小编已经整理在答案圈了,需要核对参考的伙伴练习完来核对一下哦世纪金榜2018年课时讲练通语文必修5人教版参考答案ISBN编号