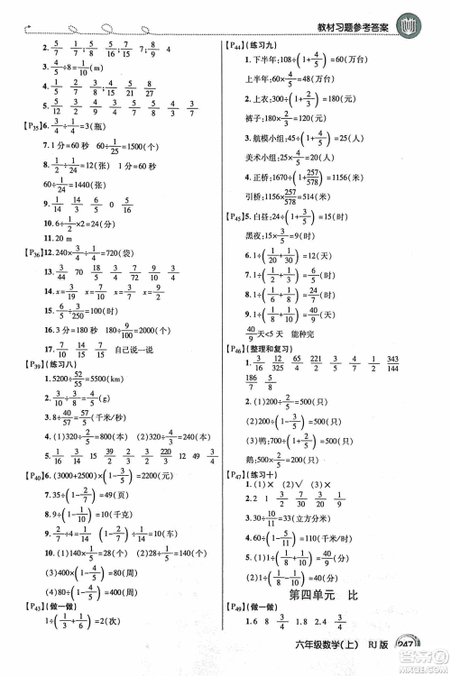
2018倍速学习法教材导学练数学六年级上册人教版参考答案,小编已经整理完成,需要核对答案的来答案圈看看

本书由开明出版社出版,结合教师、家长、学生三方辅导力量给学习助力让学生更好的掌握所学知识点















1.语文课本的学习并不是最重要的。
我认识的很多家长,总觉得学好语文课本就能考好语文,取得好成绩。对于此,无数语文老师的答案都是:非也。
试卷上的题目,其实往往会来自课外,对于语文来说,即便把课本背得滚瓜烂熟,也是不能得高分的。
2,爱上阅读才是重要的
阅读的过程其实就是增强理解能力的过程,就是提升语文整体水平的过程。所以,不妨多引导孩子进行阅读,阅读的范围要宽泛一些,名家名作,什么胡小闹日记、笑猫日记的要看,科普类文章、历史类文章也是要读的,这是为了全面替身给孩子的阅读理解能力。
3.每天半小时阅读时间,如果孩子不愿意,家长应陪读。
陪读只是暂时的,当孩子慢慢开始爱上阅读的时候,陪伴就可以减少了。
特别是小学阶段的孩子,一切都尚未定型,只要家长肯付出努力,。那么任何问题的解决都将不是问题。
小学倍速学习法六年级语文上RJ人教版2018秋参考答案
2018-11-01 14:14:28
小学倍速学习法六年级语文上RJ人教版2018秋参考答案,提倡高效的学习方法培养学自主学习能力,感兴趣的来看看小学倍速学习法六年级语文上RJ人教版2018秋参考答案ISBN编号:9787
2018版学生课程精巧训练原创新课堂学练测数学六年级上册人教版答案
2018-10-25 11:02:20
2018版学生课程精巧训练原创新课堂学练测数学六年级上册人教版答案,小编收集在答案圈了,感兴趣的学生快来点击查看吧2018版学生课程精巧训练原创新课堂学练测数学六年级上册人
2018秋课时特训数学六年级上北师大版BS答案
2018-10-19 09:21:05
2018秋课时特训数学六年级上北师大版BS答案,小编收集在答案圈了,感兴趣的学生可以及时了解2018秋课时特训数学六年级上北师大版BS答案本书是浙江科学技术出版社的,钱伟主编的,本
2018年名校复习方法大揭秘15天巧夺100分数学六年级上册冀教版参考答案
2018-10-15 17:23:14
2018年名校复习方法大揭秘15天巧夺100分数学六年级上册冀教版参考答案,专为地区打造,更好的辅导提高学习,感兴趣的来答案圈了解一下2018年名校复习方法大揭秘15天巧夺100分数
2018倍速学习法系列答案