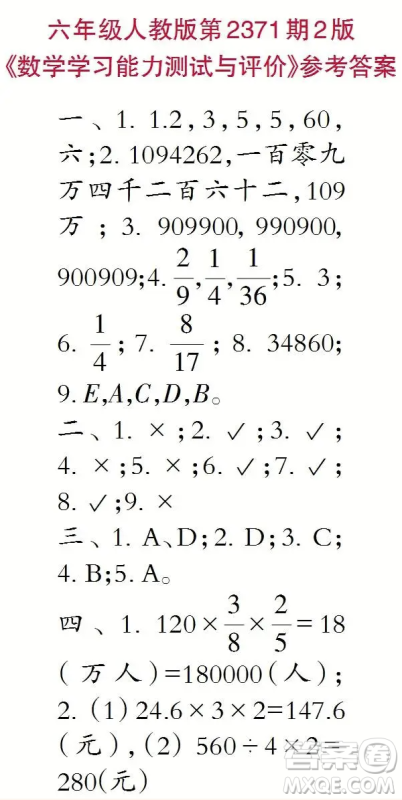
小学生数学报主要用于补充课堂学习,帮助学生夯实基础、拓展提高,小编这次收集整理的是六年级的第2371期的苏教版和人教版的参考答案,想要练习的可以做完了之后来检查核对,其他年级的也有收集整理,站内直接搜小学生数学报就可以搜到了哦!

答案如下,仅供参考!


2025春小学生数学报五年级第2370期答案
2025-05-05 13:49:27
小编这次收集整理的是2025春小学生数学报五年级第2370期的答案,这个系列是2025年春季学期的小学生数学报纸,其他年级的也有整理,站内直接搜小学生数学报就可以搜到了。小学生数
2025春学期小学生数学报四年级第2369期答案
2025-05-05 11:25:50
小学生数学报通过数学故事、谜题、游戏、漫画等形式激发学习兴趣,联系实际生活场景(如购物、测量等),体现数学的应用价值。小编这次收集整理的是四年级的第2369期的答案,这个系列
2025春学期小学生数学报三年级第2368期答案
2025-05-05 10:42:00
小编整合了一年级到六年级的小学生数学报的春季学期的参考答案,这次的是三年级的苏教版和人教版的第2368期的参考答案,主要板块是挑战自我和每日思维操、数学学习能力与评价。
2025春学期小学生数学报二年级第2367期答案
2025-05-05 09:55:29
小编这次收集整理的是小学生数学报的二年级各个版本的第2367期的参考答案,有夺星大挑战还有数学学习能力测试与评价,小学生数学报主要适用于一年级到六年级,各个版本,主要贴合当