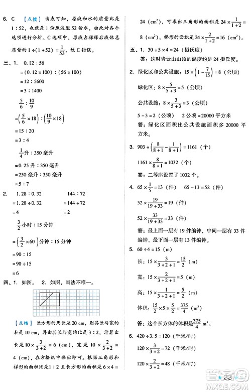
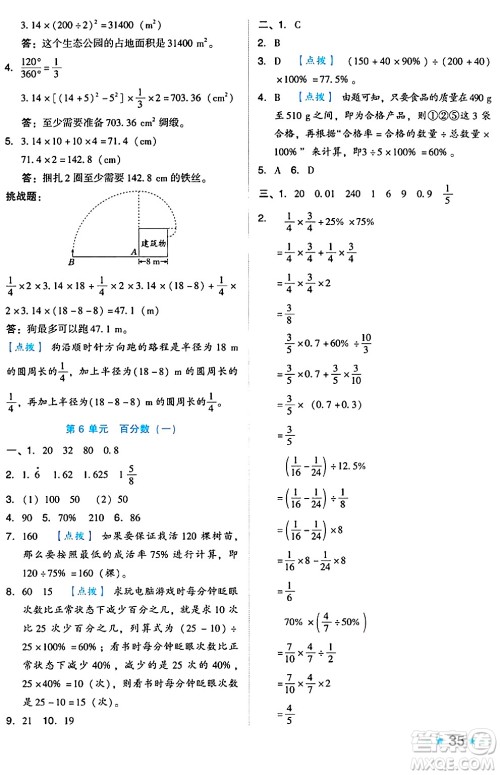
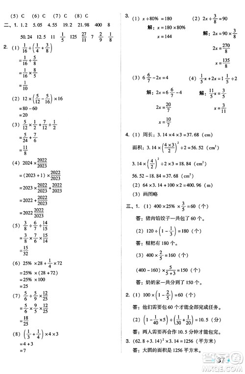
数学这门学科在六年级会有所增加,同学们要多花时间,通过训练来回顾课堂上的内容,提升数学这门学科的成绩,今天小编为同学们整理了吉林教育出版社2024年秋荣德基好卷六年级数学上册人教版答案,本书的ISBN为9787538377125,练习完的同学可以来答案圈核对一下答案。

答案如下,仅供参考:






























吉林教育出版社2024年秋荣德基好卷六年级英语上册沪教牛津版山西专版三起点答案
2024-12-12 10:57:50
今天小编为同学们整理了吉林教育出版社2024年秋荣德基好卷六年级英语上册沪教牛津版山西专版三起点答案,本练习结合课本上的知识,让同学们在课下可以通过训练来掌握所学的知识
吉林教育出版社2024年秋荣德基好卷六年级英语上册沪教牛津版三起点答案
2024-12-12 10:46:43
今天小编为同学们整理了吉林教育出版社2024年秋荣德基好卷六年级英语上册沪教牛津版三起点答案,本练习根据所学的知识进行编写,让同学们在课下可以通过实操来进行知识点巩固,提
吉林教育出版社2024年秋荣德基好卷六年级英语上册外研版三起点答案
2024-12-12 10:33:06
英语这门学科在六年级难度会有所增加,同学们想要取得高分在课堂上要紧随老师的脚步掌握好知识点,今天小编为同学们整理了吉林教育出版社2024年秋荣德基好卷六年级英语上册外研
吉林教育出版社2024年秋荣德基好卷六年级英语上册精通版三起点答案
2024-12-12 10:19:12
进入六年级,英语这门学科的难度会有所增加,同学们可以通过实操来进行知识点检测,提升这门学科的成绩,今天小编为同学们整理了吉林教育出版社2024年秋荣德基好卷六年级英语上册精