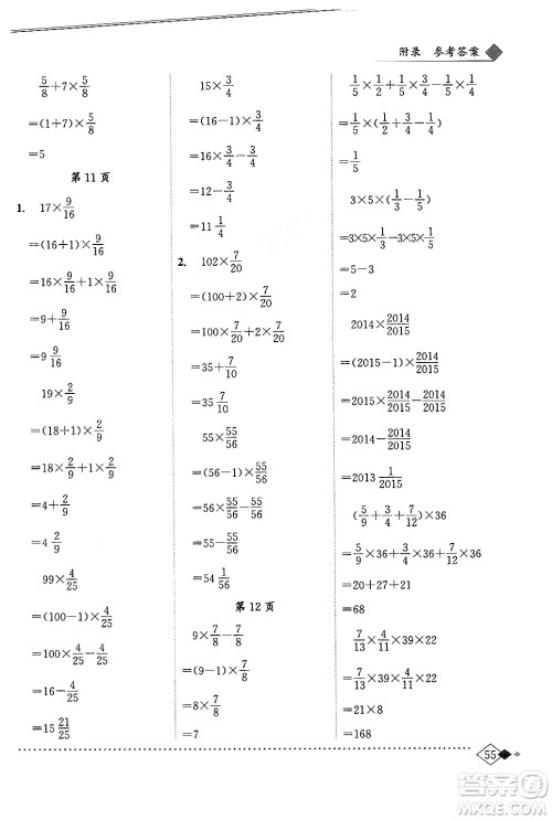
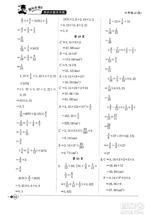
六年级各学科难度会有所增加,同学们想要取得高分可以加强课后训练,通过练习来巩固复习,今天小编为同学们整理了龙门书局2024年秋黄冈小状元同步计算天天练六年级数学上册人教版答案,本书的ISBN为9787508844732,练习完的同学可以来答案圈核对一下答案。

答案如下,仅供参考:


















龙门书局2024年秋黄冈小状元口算速算练习册六年级数学上册北师大版答案
2024-09-14 11:40:40
今天小编为同学们整理了龙门书局2024年秋黄冈小状元口算速算练习册六年级数学上册北师大版答案,本练习包含口算及运算,帮助同学们通过训练来提升计算能力,提升做题的正确率,高效
龙门书局2024年秋黄冈小状元口算速算练习册六年级数学上册人教版答案
2024-09-14 10:58:20
今天小编为同学们整理了龙门书局2024年秋黄冈小状元口算速算练习册六年级数学上册人教版答案,本练习包含口算及运算,帮助同学们提升做题时的正确率,能更快的计算出正确答案,提升
安徽教育出版社2024年秋荣德基星级口算天天练六年级数学上册西师版答案
2024-09-14 08:52:22
数学这门学科离不开计算,同学们要提升自己的计算能力,在课下多做练习,这样才能提升数学成绩,今天小编为同学们整理了安徽教育出版社2024年秋荣德基星级口算天天练六年级数学上册
安徽教育出版社2024年秋荣德基星级口算天天练六年级数学上册苏教版答案
2024-09-14 08:50:46
今天小编为同学们整理了安徽教育出版社2024年秋荣德基星级口算天天练六年级数学上册苏教版答案,本练习帮助同学们提升口算笔算能力,提升同学们的练习准确率,帮助同学取得高分,本