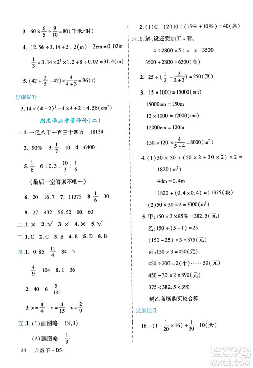
今天小编为同学们整理了延边大学出版社2024年春学练优六年级数学下册北师大版答案,本练习结合教材针对各个难点进行全方面的巩固训练,帮助同学们在课下提升综合运用能力,练习完的同学可以来答案圈核对一下答案。

答案如下,仅供参考:




























延边大学出版社2024年春学练优三年级英语下册人教PEP版答案
2024-05-10 10:12:21
英语是一门很重要的学科,它的难度也不低,同学们要从现在开始巩固好基础,提升英语成绩今天小编为同学们整理了延边大学出版社2024年春学练优三年级英语下册人教PEP版答案,练习完
延边大学出版社2024年春学练优四年级英语下册人教PEP版答案
2024-05-10 09:57:18
今天小编为同学们整理了延边大学出版社2024年春学练优四年级英语下册人教PEP版答案,本练习将知识糅合到练习当中,让同学们可以通过训练来巩固好所学的知识点,提升英语成绩,练习
延边大学出版社2024年春学练优五年级英语下册人教PEP版答案
2024-05-10 09:49:00
进入小学五年级,英语这门学科的难度会有所增加,同学们要多花时间,在课下通过训练掌握好知识,今天小编为同学们整理了延边大学出版社2024年春学练优五年级英语下册人教PEP版答案,
延边大学出版社2024年春学练优六年级英语下册人教PEP版答案
2024-05-10 09:38:08
英语这门学科在六年级难度不小,同学们要重视起来,在课下要多记单词,多做练习,提升成绩,今天小编为同学们整理了延边大学出版社2024年春学练优六年级英语下册人教PEP版答案,练习完