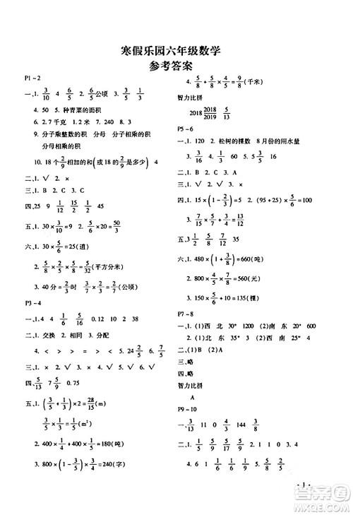
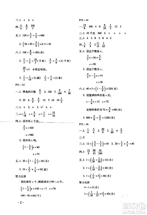
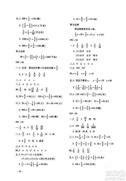
六年级的数学难度不小,同学们在假期要多花时间,通过训练来巩固新授课知识,夯实双基,今天小编为同学们整理了北京教育出版社2024寒假乐园六年级数学人教版河南专版答案,练习完的同学们可以来答案圈核对一下答案。

答案如下,仅供参考:








北京教育出版社2024寒假乐园三年级英语鲁湘版河南专版答案
2024-01-11 17:20:15
今天小编为同学们整理了北京教育出版社2024寒假乐园三年级英语鲁湘版河南专版答案,本练习更好的总结了小这学期所学习到的知识点,也记录了很多真题与例题,帮助同学们理解知识,练
北京教育出版社2024寒假乐园四年级英语鲁湘版河南专版答案
2024-01-11 17:07:03
英语这门学科需要同学们多花时间,同学们在假期可以多记单词多做练习,将知识点掌握牢固,今天小编为同学们整理了北京教育出版社2024寒假乐园四年级英语鲁湘版河南专版答案,练习完
北京教育出版社2024寒假乐园五年级英语鲁湘版河南专版答案
2024-01-11 16:56:36
英语这门学科在五年级难度不小,同学们在假期可以通过训练来巩固所学的知识,减少做题错误率,今天小编为同学们整理了北京教育出版社2024寒假乐园五年级英语鲁湘版河南专版答案,练
北京教育出版社2024寒假乐园六年级英语鲁湘版河南专版答案
2024-01-11 16:46:33
今天小编为同学们整理了北京教育出版社2024寒假乐园六年级英语鲁湘版河南专版答案,本练习知识丰富全面,可以帮助同学们在假期更好的理清学习脉络及时的巩固知识,提高成绩,练习完