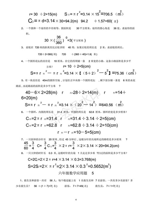
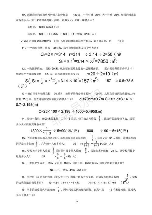
小学数学最关键的就是应用题了,应用题占分很多,那么应用题想要训练的话,当然不能错过应用题汇总了,感兴趣的可以来了解一下!
















2018年从课本到奥数难题点拨六年级参考答案
2018-08-15 15:57:07
2018年从课本到奥数难题点拨六年级参考答案,等待成为优等生的你,感兴趣的来2018年从课本到奥数难题点拨六年级参考答案从课本到奥数难题点拨小学6年级长春出版社ISBN编号97875
2018孟建平初升高名牌一级重点高中招生考试卷数学参考答案
2018-08-15 14:59:07
孟建平初升高名牌一级重点高中招生开试卷系列是为初升高衔接打造的试卷,这边小编收集了相关的答案,在做完试卷之后可以来了解一下!2018孟建平初升高名牌一级重点高中招生考试卷
2018年精讲解读篇第8版挑战压轴题高考数学参考答案
2018-08-15 14:53:31
2018年精讲解读篇第8版挑战压轴题高考数学参考答案,讲解数学新高度,感兴趣的来答案圈看看2018年精讲解读篇第8版挑战压轴题高考数学参考答案2017年9月华东师范大学出版社出版I
2018版第三学期暑假衔接六年级小升初语文人教版答案
2018-08-15 14:18:15
小编收集整理了六年级第三学期暑假衔接语文的参考答案,有兴趣的学生可以来看看!2018版第三学期暑假衔接六年级小升初语文人教版答案由石洪涛主编,由安徽人民出版社出版,书号为IS