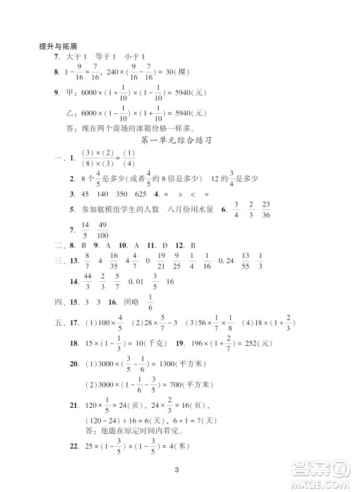
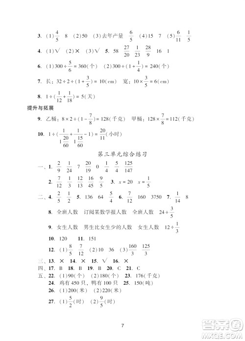
在小学六年级,学生们要珍惜时间,课下也得积极完成练习,争取把知识点巩固好。今天分享广州出版社2023年秋阳光学业评价六年级数学上册人教版参考答案,赶紧看过来,希望能帮到你们。此外,答案切忌照抄!

本书的ISBN为9787546220291,答案如下:













广州出版社2023年秋阳光学业评价六年级语文上册人教版参考答案
2023-09-12 14:48:55
小编分享广州出版社2023年秋阳光学业评价六年级语文上册人教版参考答案,感兴趣的可以看过来。对于小学六年级的学生来说,语文科目的学习要重点关注,每天都得坚持做练习。注意,答案不能照搬照抄哦!
广州出版社2023年秋阳光学业评价八年级英语上册沪教版答案
2023-09-12 14:41:14
八年级的英语难度会有所提升,同学们在课下要及时回顾所学的知识,全面提升英语成绩,今天小编为同学们整理了广州出版社2023年秋阳光学业评价八年级英语上册沪教版答案,练习完的同
广州出版社2023年秋阳光学业评价六年级英语上册教科版参考答案
2023-09-12 14:39:55
今天分享广州出版社2023年秋阳光学业评价六年级英语上册教科版参考答案,感兴趣的可以看过来。这是为小学六年级学生搜集到的练习册答案内容新颖,希望能帮到你们。当然,答案不能
广州出版社2023年秋阳光学业评价七年级英语上册沪教版答案
2023-09-12 14:29:27
七年级的英语难度还不大,同学们可以通过训练来巩固所学的知识,全面提升英语成绩,今天小编为同学们整理了广州出版社2023年秋阳光学业评价七年级英语上册沪教版答案,练习完的同学
2023年秋阳光学业评价上册系列答案