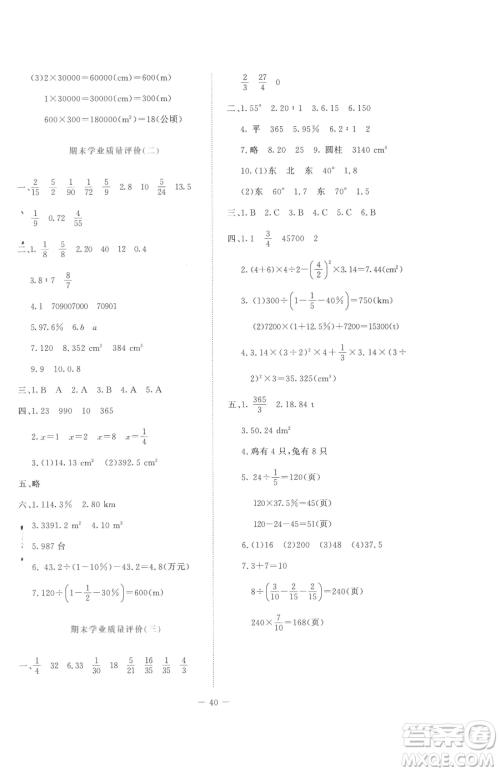
六年级同学们的时间会紧张很多,同学们的压力也不小,在课下要多做练习,提升数学成绩。今天小编为同学们整理了北京师范大学出版社2023课堂精练六年级下册数学北师大版增强版参考答案,练习完的同学可以来答案圈看看。

本书的ISBN为9787303253517,答案如下:


















北京师范大学出版社2023课堂精练四年级下册数学北师大版福建专版参考答案
2023-06-16 17:30:08
今天小编为同学们整理了北京师范大学出版社2023课堂精练四年级下册数学北师大版福建专版参考答案,本练习根据教材对知识点进行巩固练习,对知识点进行拓展和延伸,全面考察知识。
北京师范大学出版社2023课堂精练五年级下册数学北师大版增强版参考答案
2023-06-16 17:19:55
今天小编为同学们整理了北京师范大学出版社2023课堂精练五年级下册数学北师大版增强版参考答案,本练习的题目有易到难,有基础到提高,让同学们通过练习系统化的学习和运用知识。
北京师范大学出版社2023课堂精练五年级下册数学北师大版大庆专版参考答案
2023-06-16 17:01:08
今天小编为同学们整理了北京师范大学出版社2023课堂精练五年级下册数学北师大版大庆专版参考答案,本练习习题基于课本知识,让同学们在课下通过练习来让同学们融会贯通,提升成绩
北京师范大学出版社2023课堂精练二年级下册数学北师大版山西专版参考答案
2023-06-16 16:50:03
二年级的数学难度还不大,同学们只需要在课堂上认真听讲,在楼下多做练习训练。今天小编为同学们整理了北京师范大学出版社2023课堂精练二年级下册数学北师大版山西专版参考答案