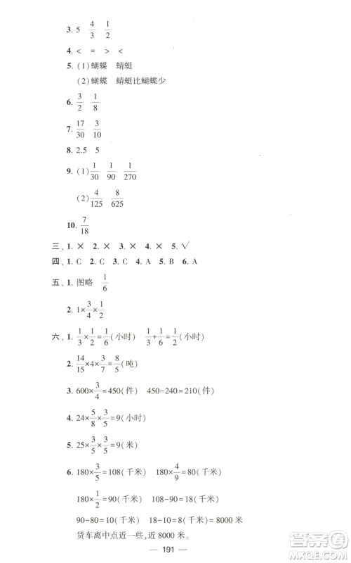
宁夏人民教育出版社2022学霸提优大试卷六年级上册数学江苏版江苏国标参考答案小编已经为大家收集整理好了,本书是宁夏人民教育出版社出版设计,这本书整合单元知识的重难点,同时设置例题讲解和反馈练习。例题典型,解析详细,点拨到位;练习与例题匹配,使学生逐步掌握重要知识点,从而提高解题能力,有兴趣的同学,可以到答案圈看看哦!

答案如下:






















































宁夏人民教育出版社2022学霸提优大试卷六年级上册英语江苏版江苏国标参考答案
2022-09-23 16:22:03
宁夏人民教育出版社2022学霸提优大试卷六年级上册英语江苏版江苏国标参考答案小编已经为大家收集整理好了,本书是宁夏人民教育出版社出版设计,这本书帮助大家在课后复习时,能巩
宁夏人民教育出版社2022学霸提优大试卷五年级上册语文人教版参考答案
2022-09-23 16:15:08
宁夏人民教育出版社2022学霸提优大试卷五年级上册语文人教版参考答案小编已经为大家收集整理好了,本书是宁夏人民教育出版出版设计,这本书整合单元知识的重难点,同时设置例题讲
宁夏人民教育出版社2022学霸提优大试卷五年级上册数学江苏版江苏国标参考答案
2022-09-23 16:03:05
宁夏人民教育出版社2022学霸提优大试卷五年级上册数学江苏版江苏国标参考答案小编已经为大家收集整理好了,本书是宁夏人民教育出版社出版设计,本书贴合数学教科书进行编写,从内
宁夏人民教育出版社2022学霸提优大试卷五年级上册英语江苏版江苏国标参考答案
2022-09-23 15:49:46
宁夏人民教育出版社2022学霸提优大试卷五年级上册英语江苏版江苏国标参考答案小编已经为大家收集整理好了,本书是宁夏人民教育出版社出版设计,本书针对五年级英语课上所学的各