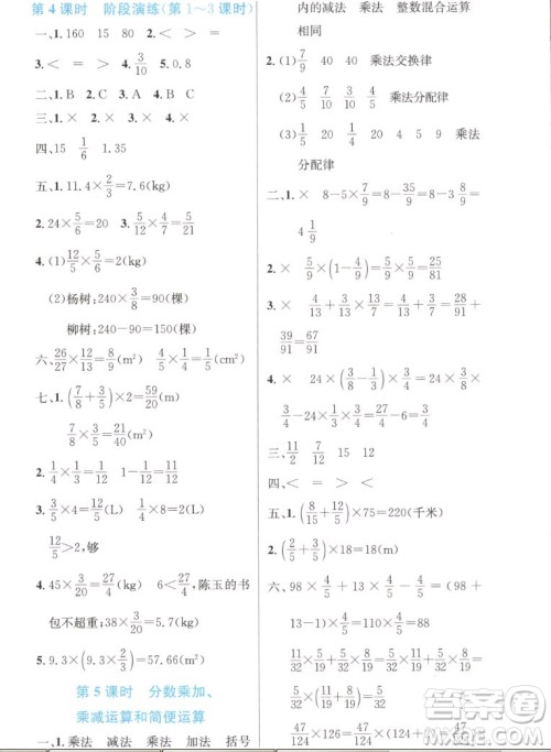
人民教育出版社2022秋小学同步测控优化设计数学六年级上册增强版答案小编已经收集整理好了,同步课堂学习,做好每天的巩固和新课程的预习,练习模式从基础到闯关到拓展,逐步递进全面提高学生的学习素养,练习完的伙伴可以来答案圈看看!

本书系列的其他年级和科目的答案小编也有收集整理,需要的伙伴可以在答案圈对应的年级搜索查看!
























人民教育出版社2022秋小学同步测控优化设计英语六年级上册增强版答案
2022-09-22 10:39:36
人民教育出版社2022秋小学同步测控优化设计英语六年级上册增强版答案小编已经收集整理好了,该练习册是对应三年级起点学英语的伙伴的,结合人教版教材编写,从基础训练到拓展训练
人民教育出版社2022秋小学同步测控优化设计语文六年级上册增强版答案
2022-09-22 10:28:07
人民教育出版社2022秋小学同步测控优化设计语文六年级上册增强版答案小编已经收集整理好了,结合教材编写同步课堂学习,从基础训练到拓展训练全面提高学生的学习素养,用多种练习
北京师范大学出版社2022秋小学同步测控优化设计课内课外直通车语文六年级上册福建专版答案
2022-09-22 10:17:11
北京师范大学出版社2022秋小学同步测控优化设计课内课外直通车语文六年级上册福建专版答案小编已经收集整理好了,针对福建地区教育特色,针对课堂温习课后巩固,从多个方向全面的
人民教育出版社2022秋小学同步测控优化设计数学五年级上册精编版答案
2022-09-22 09:56:59
人民教育出版社2022秋小学同步测控优化设计数学五年级上册精编版答案小编已经收集整理好了,结合教材编写同步课堂学习,从基础训练到拓展训练全面提高学生的学习素养,用多种练习