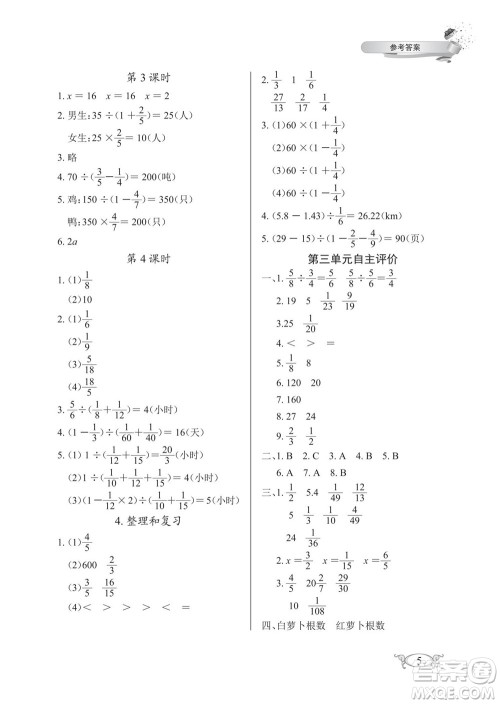
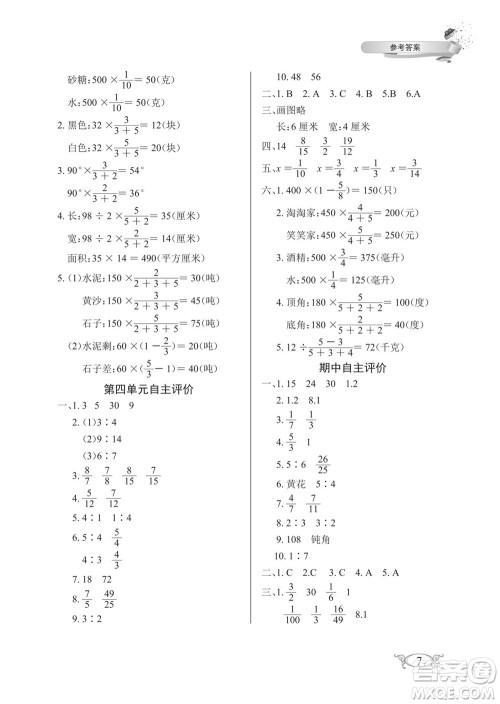
湖北教育出版社2022秋长江作业本同步练习册数学六年级上册人教版答案小编已经收集整理好了,结合人教版教材编写,针对湖北地区科学教材,同步课堂教学,在温习每日所学知识点的同时也可以拓展学习,让学生能灵活运用所学,练习完的伙伴也可以来答案圈查看答案。

本书系列的其他年级和科目答案圈也是有收集整理的,小伙伴们可以在答案圈对应的年级搜索查看!















湖北教育出版社2024年春长江作业本同步练习册八年级生物下册人教版答案
2024-03-26 16:03:14
今天小编为同学们整理了湖北教育出版社2024年春长江作业本同步练习册八年级生物下册人教版答案,本练习将所学的知识结合到练习当中,让同学们在课下可以检测所学知识掌握程度,练
湖北教育出版社2024年春长江作业本同步练习册八年级数学下册人教版答案
2024-03-26 15:53:29
数学这门学科在八年级难度不小,同学们要重视起来,在课下要多花时间,多做练习,今天小编为同学们整理了湖北教育出版社2024年春长江作业本同步练习册八年级数学下册人教版答案,练习
湖北教育出版社2024年春长江作业本同步练习册七年级数学下册人教版答案
2024-03-26 15:38:38
七年级的数学难度不小,同学们要通过练习来掌握好所学的内容,全面提升这门学科的成绩,今天小编为同学们整理了湖北教育出版社2024年春长江作业本同步练习册七年级数学下册人教版
湖北教育出版社2024年春长江作业本同步练习册九年级英语下册人教版答案
2024-03-26 15:23:21
英语这门学科在九年级难度不小,同学们想要提升成绩要多花时间,将重难点知识反复练习,今天小编为同学们整理了湖北教育出版社2024年春长江作业本同步练习册九年级英语下册人教版
2022小学长江作业本上册系列答案