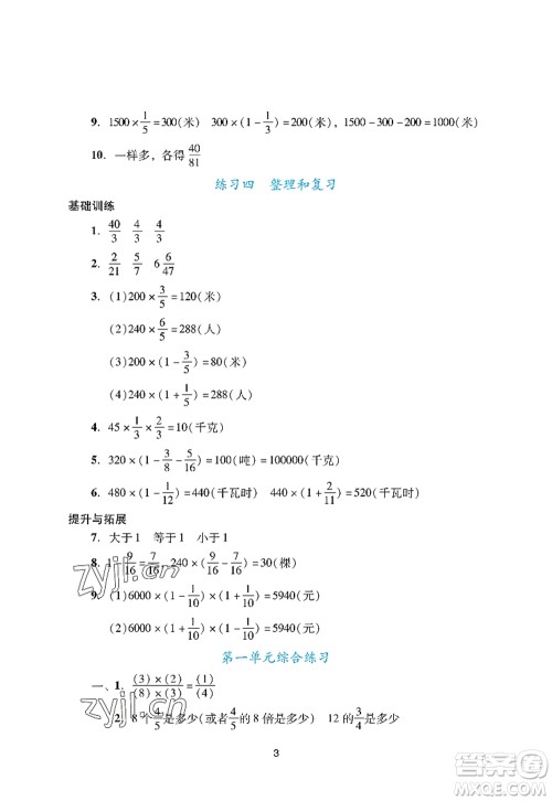
广州出版社2022阳光学业评价六年级数学上册人教版答案小编为同学们整理好了,本书是由广州出版社出版发行的课时同步练习册,题目设置紧扣教材内容和教学实际,严格遵循新课标对每个学段的目标要求,全面整合教材内容,提炼和升华重点,做完可以来答案圈核对一下,效率更高哦!

答案如下,仅供参考。答案圈也有整理其他的参考资料,有需要的同学可以搜索查看。




















广州出版社2022阳光学业评价六年级语文上册人教版答案
2022-09-15 08:04:33
广州出版社2022阳光学业评价六年级语文上册人教版答案小编为同学们整理好了,本书是由广州出版社出版发行的课时同步练习册,按新课程标准的要求,紧扣考纲同步教材,分考点梳理知识
广州出版社2022阳光学业评价五年级英语上册教科版答案
2022-09-14 17:59:32
广州出版社2022阳光学业评价五年级英语上册教科版答案小编为同学们整理好了,本书是由广州出版社出版发行的课时同步练习册,将单元所学内容系统化,以练习题形式归纳与梳理,从基础
广州出版社2022阳光学业评价五年级数学上册人教版答案
2022-09-14 17:43:32
广州出版社2022阳光学业评价五年级数学上册人教版答案小编为同学们整理好了,本书是由广州出版社出版发行的课时同步练习册,题目设计遵循由易到难的原则,并且与教材紧密贴合,能很
广州出版社2022阳光学业评价五年级语文上册人教版答案
2022-09-14 17:28:10
广州出版社2022阳光学业评价五年级语文上册人教版答案小编为同学们整理好了,本书是由广州出版社出版发行的课时同步练习册,习题具有较强的代表性,都是教材对应知识点的延伸与拓
2022阳光学业评价上册系列答案