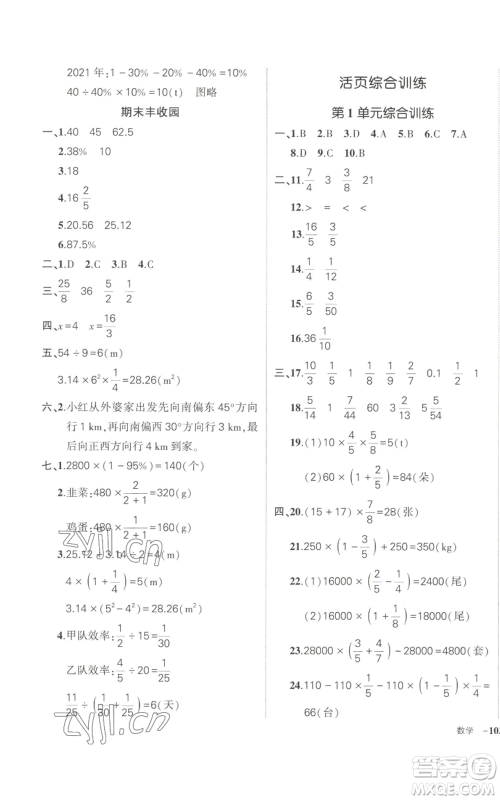
长江出版社2022秋季状元成才路创优作业100分六年级上册数学人教版参考答案小编已经为大家收集整理好了,本书是长江出版社出版设计,本书不仅设有全面系统的课时作业,还配有各章自主检测及期中、期末自主检测,以帮助学生查漏补缺、自我提升,有兴趣的同学,可以到答案圈看看哦!

答案如下:






















武汉出版社2022秋季状元成才路创优作业100分五年级上册语文人教版贵州专版参考答案
2022-08-25 11:14:43
武汉出版社2022秋季状元成才路创优作业100分五年级上册语文人教版贵州专版参考答案小编已经为大家收集整理好了,本书是武汉出版社出版设计,本书紧扣单元主题精选美文,以赏析的
吉林教育出版社2022秋季状元成才路创优作业100分五年级上册数学人教版广东专版参考答案
2022-08-25 10:49:47
吉林教育出版社2022秋季状元成才路创优作业100分五年级上册数学人教版广东专版参考答案小编已经为大家收集整理好了,本书从课内重点、难点出发,着力于知识点的延伸、拓展,突出
吉林教育出版社2022秋季状元成才路创优作业100分五年级上册语文人教版广东专版参考答案
2022-08-25 10:37:40
吉林教育出版社2022秋季状元成才路创优作业100分五年级上册语文人教版广东专版参考答案小编已经为大家收集整理好了,本书紧扣单元主题精选美文,以赏析的形式穿插设题,让学生自
西安出版社2022秋季状元成才路创优作业100分五年级上册英语外研版参考答案
2022-08-25 10:27:27
西安出版社2022秋季状元成才路创优作业100分五年级上册英语外研版参考答案小编已经为大家收集整理好了,本书是西安出版社出版设计,本书所设计的题目形式多样,紧贴考试题型,能全