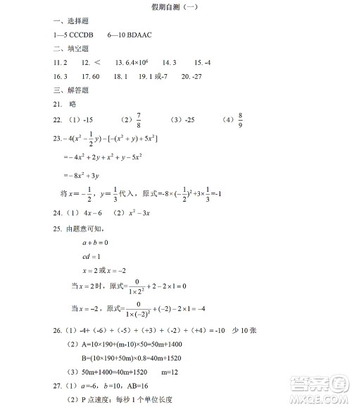
黑龙江少年儿童出版社2022Happy假日暑假五四学制六年级理科答案小编已经收集整理好了,针对学生暑假学习和新学期衔接,让学生在假期复习上一学期知识点的同时预习下学期学习内容,帮助学生更好更快的融入新学期的学习中,练习完的伙伴可以来答案圈核对一下答案!

本书系列的其他年级和科目小编也有整理收集,需要核对答案的伙伴可以来答案圈对应的年级搜索查看!














黑龙江少年儿童出版社2022Happy假日暑假五四学制六年级文科答案
2022-08-01 09:16:44
黑龙江少年儿童出版社2022Happy假日暑假五四学制六年级文科答案小编已经收集整理好了,针对学生暑假学习和新学期衔接,让学生在假期复习上一学期知识点的同时预习下学期学习内
黑龙江少年儿童出版社2022Happy假日暑假八年级综合答案
2022-08-01 09:04:05
黑龙江少年儿童出版社2022Happy假日暑假八年级综合答案小编已经收集整理好了,针对学生暑假学习和新学期衔接,让学生在假期复习上一学期知识点的同时预习下学期学习内容,帮助学
黑龙江少年儿童出版社2022Happy假日暑假八年级理科答案
2022-08-01 08:52:23
黑龙江少年儿童出版社2022Happy假日暑假八年级理科答案小编已经收集整理好了,针对学生暑假学习和新学期衔接,让学生在假期复习上一学期知识点的同时预习下学期学习内容,帮助学
黑龙江少年儿童出版社2022Happy假日暑假八年级文科答案
2022-08-01 08:43:15
黑龙江少年儿童出版社2022Happy假日暑假八年级文科答案小编已经收集整理好了,针对学生暑假学习和新学期衔接,让学生在假期复习上一学期知识点的同时预习下学期学习内容,帮助学