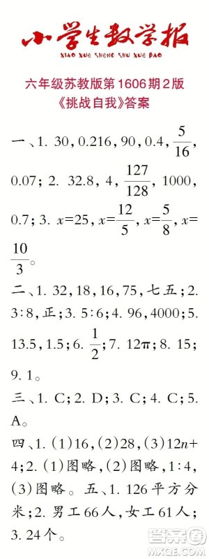
2022春小学生数学报六年级第1606期答案小编已经收集整理好了,针对小学数学课后巩固训练,提高学生对每个阶段所学知识的理解和运用。根据教材的不同,苏教版、人教版、北师大版的答案都有,需要核对参考的伙伴可以来答案圈查看!

本报纸的其他期刊答案小编也有收集整理,需要核对的伙伴可以在答案圈对应的年级搜索查看!




2022春小学生数学报六年级第1605期答案
2022-05-26 15:54:19
2022春小学生数学报六年级第1605期答案小编已经收集整理好了,针对小学数学课后巩固训练,提高学生对每个阶段所学知识的理解和运用。根据教材的不同,苏教版、人教版、北师大版的
2022春小学生数学报五年级第1606期答案
2022-05-26 15:43:13
2022春小学生数学报五年级第1606期答案小编已经收集整理好了,针对小学数学课后巩固训练,提高学生对每个阶段所学知识的理解和运用。根据教材的不同,苏教版、人教版、北师大版的
2022春小学生数学报五年级第1605期答案
2022-05-26 15:27:52
2022春小学生数学报五年级第1605期答案小编已经收集整理好了,针对小学数学课后巩固训练,提高学生对每个阶段所学知识的理解和运用。根据教材的不同,苏教版、人教版、北师大版的
2022春小学生数学报四年级第1606期答案
2022-05-26 15:10:49
2022春小学生数学报四年级第1606期答案小编已经收集整理好了,针对小学数学课后巩固训练,提高学生对每个阶段所学知识的理解和运用。根据教材的不同,苏教版、人教版、北师大版的