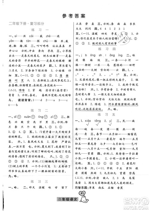
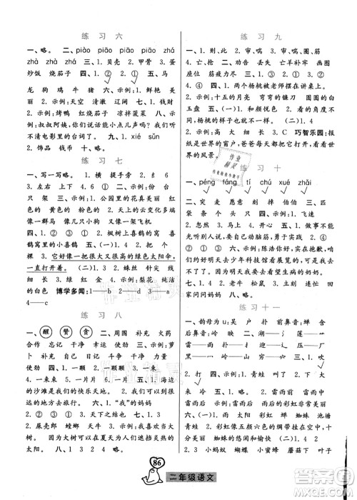
河北美术出版社2021暑假作业二年级语文答案为大家整理好了,书中把二三年级的知识衔接起来,包括课时回顾、阶段练习、强化训练、综合测试等内容,目的是让同学们在下一学期开始之前有一个过渡,对这本书感兴趣的小伙伴们快来答案圈看看吧!

参考答案下图所示,请同学们仔细核对。









河北美术出版社2021暑假作业一年级数学答案
2021-08-09 14:22:09
河北美术出版社2021暑假作业一年级数学答案为大家整理好了,书中把一二年级的知识衔接起来,紧跟教材知识点,巩固本学期所学知识点,拓展强化学习思维,提高全面综合训练,一天一练,巩固
河北美术出版社2021暑假作业一年级语文答案
2021-08-09 14:10:21
河北美术出版社2021暑假作业一年级语文答案小编为大家整理好了,书中把一二年级的知识衔接起来,紧跟教材知识点,巩固本学期所学知识点,拓展强化学习思维,提高全面综合训练,包括课时
新疆青少年出版社2021暑假作业八年级物理人教版答案
2021-08-09 09:23:35
新疆青少年出版社2021暑假作业八年级物理人教版答案小编为大家整理好了,书中把八九年级的知识有机衔接起来,它设计的题型全面典型,把教材中的重点、难点分布到不同的题型当中,举
新疆青少年出版社2021暑假作业八年级英语人教版答案
2021-08-09 09:11:02
新疆青少年出版社2021暑假作业八年级英语人教版答案小编为大家整理好了,书中把八九年级的知识有机衔接起来,它设计的题型全面典型,把教材中的重点、难点分布到不同的题型当中,举