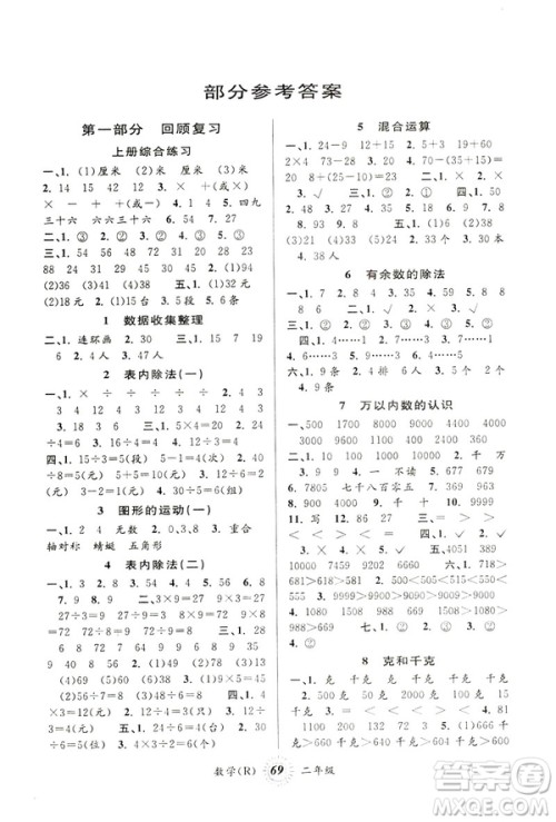
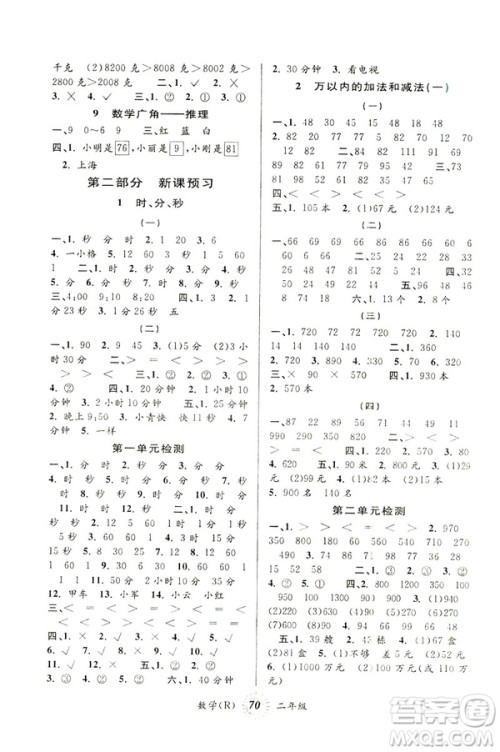
小编收集整理了2019年第三学期暑假衔接二年级数学RJ人教版参考答案,感兴趣的学生考完之后即可核对哦

ISBN编号: 9787212073695 主编:石洪涛 出版社名称: 安徽人民出版社 名称:第三学期暑假衔接


2019年第三学期暑假衔接三年级数学北师大版参考答案
2019-07-09 08:34:22
小编收集整理了2019年第三学期暑假衔接三年级数学北师大版参考答案,感兴趣的学生可以及时核对哦2019年第三学期暑假衔接三年级数学北师大版参考答案ISBN编号: 9787212073701
人教版2019版赢在起跑线暑假作业中学生快乐暑假八年级道德与法治参考答案
2019-07-09 08:05:47
赢在起跑线系列的暑假作业小编整理了八年级道德与法治的答案,大家练习完可以来答案圈看看赢在起跑线2019版中学生快乐暑假8年级语文人教版参考答案ISBN编号: 9787559511713书
赢在起跑线2019版中学生快乐暑假8年级语文人教版参考答案
2019-07-09 07:58:24
赢在起跑线系列的暑假作业小编整理了八年级语文的答案,大家练习完可以来答案圈看看赢在起跑线2019版中学生快乐暑假8年级语文人教版参考答案ISBN编号: 9787537645935书名: 中
赢在起跑线2019版中学生快乐暑假8年级数学人教版参考答案
2019-07-09 07:57:13
这次小编整理的是赢在起跑线2019版中学生快乐暑假8年级数学人教版参考答案,让大家在暑假训练完可以及时的核对答案进行纠错巩固学习,快来答案圈看看吧赢在起跑线2019版中学生
小学第三学期暑假衔接系列答案