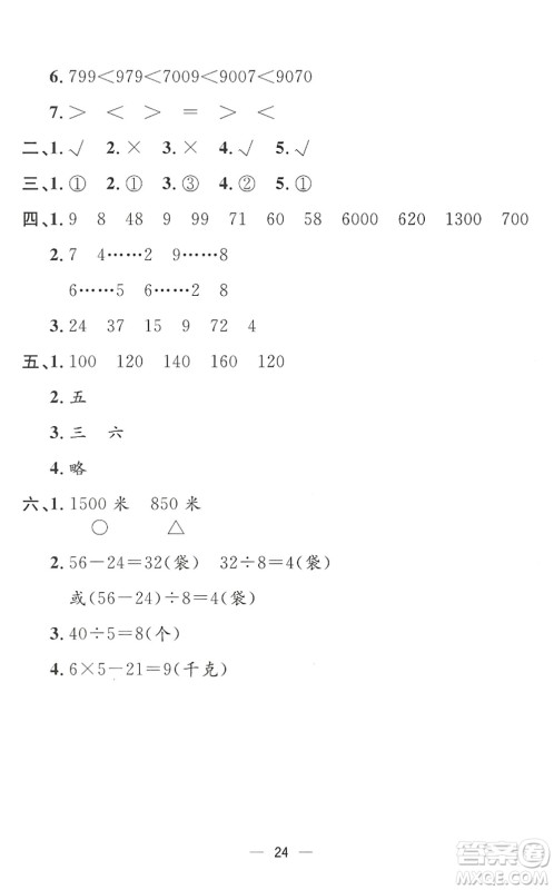
合肥工业大学出版社2022暑假集训二年级数学RJ人教版答案小编为大家整理好了,本书是由合肥工业大学出版社出版发行,把二三年级的知识有机衔接起来,包括复习基础知识,加深记忆,预习新学期知识点,开学后更好地适应学习进度,完成练习的同学们快来核对一下答案,看看做的怎么样吧。

参考答案如下,欢迎同学们查阅
















合肥工业大学出版社2022暑假集训二年级语文人教版答案
2022-06-15 11:45:59
合肥工业大学出版社2022暑假集训二年级语文人教版答案小编为大家整理好了,本书是由合肥工业大学出版社出版发行,把二三年级的知识有机衔接起来,围绕教材内容编写,一天一练,巩固知
合肥工业大学出版社2022暑假集训一年级数学RJ人教版答案
2022-06-15 11:31:01
合肥工业大学出版社2022暑假集训一年级数学RJ人教版答案小编为大家整理好了,本书是由合肥工业大学出版社出版发行,把一二年级的知识有机衔接起来,利用学生常见错误进行反讲,提前
合肥工业大学出版社2022暑假集训一年级语文人教版答案
2022-06-15 11:14:06
合肥工业大学出版社2022暑假集训一年级语文人教版答案小编为大家整理好了,本书是由合肥工业大学出版社出版发行,把一二年级的知识有机衔接起来,让同学们在下一学期开始之前有一
合肥工业大学出版社2022赢在假期期末+暑假二年级数学RJ人教版答案
2022-06-14 16:43:49
合肥工业大学出版社2022赢在假期期末+暑假二年级数学RJ人教版答案小编为大家整理好了,本书是由合肥工业大学出版社出版发行,把二三年级的知识有机衔接起来,汇集强化训练,对教材
2022暑假集训系列答案