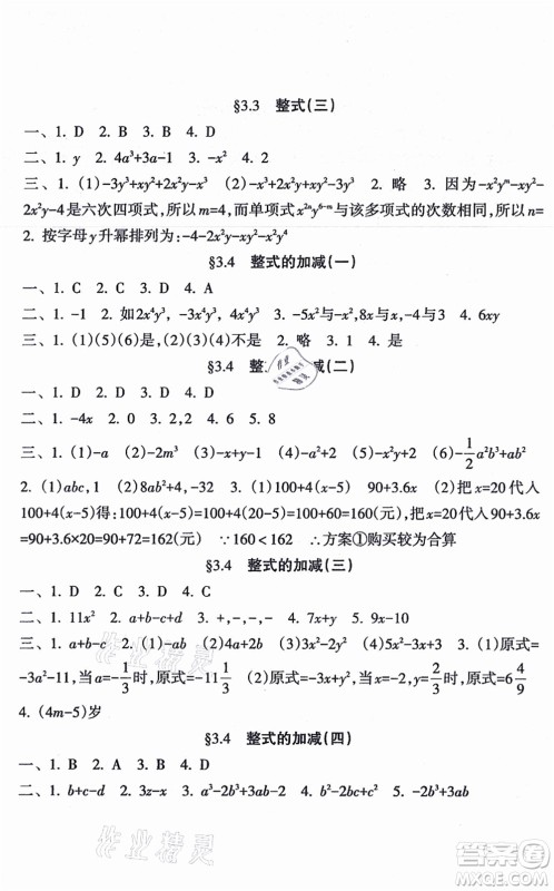
南方出版社2021新课程课堂同步练习册七年级数学上册华师版答案小编为同学们整理好了,本书是由南方出版社、海南出版社联合出版发行,配合华师版课本使用,帮助学生在课后掌握知识点,同时做练习题巩固基础部分,提炼和升华重点,做完练习的小伙伴们快来答案圈看看自己做的怎么样吧!

参考答案下图所示,请同学们仔细核对。需要其他科目的参考资料,也可以在答案圈搜索对应内容找到哦。
















南方出版社2021新课程课堂同步练习册七年级数学上册人教版答案
2021-12-21 15:48:14
南方出版社2021新课程课堂同步练习册七年级数学上册人教版答案小编为同学们整理好了,本书是由南方出版社、海南出版社联合出版发行,知识分布全,解析内容细,归纳、攻克专题薄弱等
南方出版社2021新课程课堂同步练习册七年级语文上册人教版答案
2021-12-21 15:32:18
南方出版社2021新课程课堂同步练习册七年级语文上册人教版答案小编为同学们整理好了,本书是由南方出版社、海南出版社联合出版发行,包含课时精练、单元检测题,对知识点进行全方
新疆青少年出版社2021原创新课堂七年级数学上册华师版答案
2021-09-26 08:38:02
新疆青少年出版社2021原创新课堂七年级数学上册华师版答案为大家整理好了,这本书是由新疆青少年出版社出版发行,胡明享主编的教辅书籍,立足教材,贴近课堂,体现教学的过程和方法,完
广东经济出版社2021名师测控七年级数学上册华师版答案
2021-08-30 17:26:33
广东经济出版社2021名师测控七年级数学上册华师版答案小编为大家收集整理好了,这本书是由广东经济出版社出版发行,段永军主编的教辅类书籍,适用于2021年秋季开学初一华师版地区
新课程课堂同步练习册系列答案