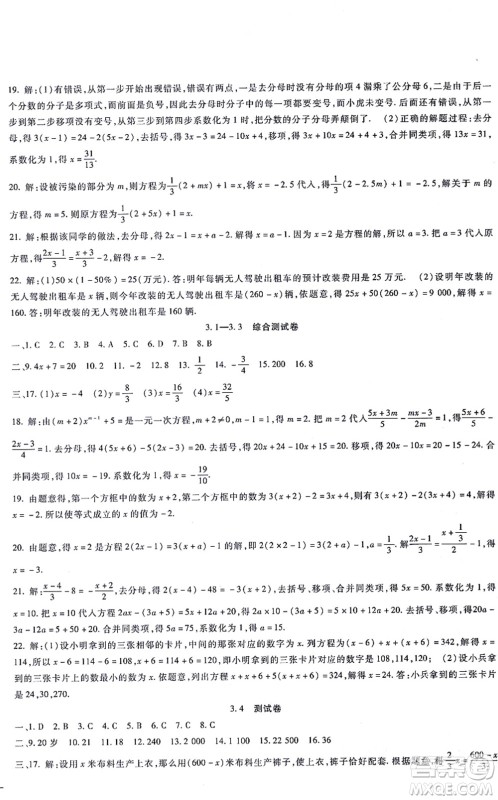
吉林教育出版社2021海淀金卷七年级数学上册RJ人教版答案小编为大家整理好了,本书是由吉林教育出版社出版发行,根据教育部最新课程标准编写,设计理念新颖,力求灵活、多样,各类题型涵盖教学的重点、难点,夯实基础,循序渐进,想要了解本书具体内容的同学,快来答案圈看看吧。

本书系列的其他年级和科目的答案小编也有整理,大家可以在答案圈对应的年级搜索查看。












吉林教育出版社2021海淀金卷七年级语文上册部编版答案
2021-12-10 11:43:02
吉林教育出版社2021海淀金卷七年级语文上册部编版答案小编整理好了,本书是由吉林教育出版社出版发行,根据教育部最新课程标准编写,涵盖单元、期中、期末测试卷,紧扣最新教材,专题
阳光出版社2021学考2+1随堂10分钟平行性测试题七年级数学上册RJ人教版答案
2021-12-08 11:39:35
阳光出版社2021学考2+1随堂10分钟平行性测试题七年级数学上册RJ人教版答案小编为同学们整理好了,本书是由阳光出版社出版发行,赵怀庆主编的同步习题册,围绕知识点进行科学分类
开明出版社2021少年班七年级数学上册RJ人教版答案
2021-12-06 10:18:44
开明出版社2021少年班七年级数学上册RJ人教版答案小编为同学们整理好了,本书是由开明出版社出版发行,刘增利主编的练习册,习题与教材零距离高度契合,基于课本知识,把知识点融合到
北京时代华文书局2021全效学习学业评价方案七年级数学上册RJ人教版答案
2021-12-01 08:45:23
北京时代华文书局2021全效学习学业评价方案七年级数学上册RJ人教版答案小编为大家整理好了,本书是由北京时代华文书局出版发行的同步课时练习册,采用“三案合一,先学后教”的模
海淀金卷系列答案