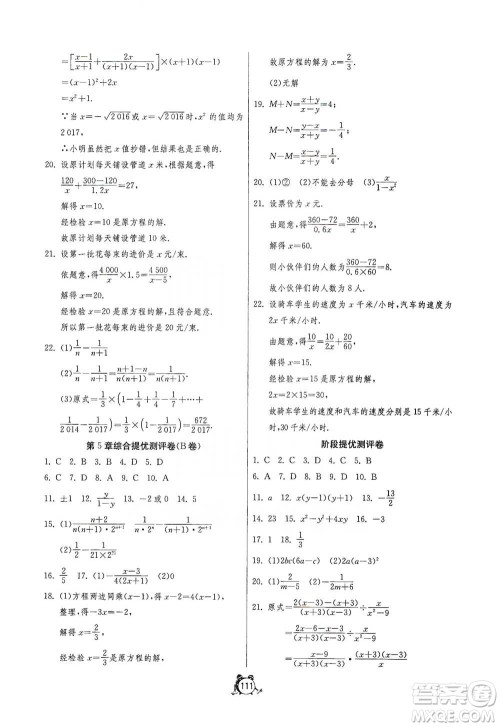
江苏人民出版社2021单元双测全程提优测评卷七年级下册数学浙教版参考答案小编已经为大家收集整理好了,这本书是由江苏人民出版社出版设计,这本书是专针对数学基础薄弱的学生设计,帮助学生在课后总结巩固课上所学知识,从而逐步提升学生成绩,大家也可以通过做练习的方式来加强自己,做完练习题的小伙伴可以到答案圈查阅参考答案哦!

答案如下,欢迎查阅!














江苏人民出版社2021单元双测全程提优测评卷七年级下册数学人教版参考答案
2021-07-09 10:27:26
江苏人民出版社2021单元双测全程提优测评卷七年级下册数学人教版参考答案小编已经为大家收集整理好了,这本书是由江苏人民出版社出版编写,贴合数学教科书进行编写,从内容讲解到
江苏人民出版社2021单元双测全程提优测评卷七年级下册语文人教版参考答案
2021-07-09 10:16:32
江苏人民出版社2021单元双测全程提优测评卷七年级下册语文人教版参考答案小编已经为大家收集整理好了,这本书是江苏人民出版社出版编写,针对七年级语文各个知识点对学生进行全
江苏人民出版社2021单元双测全程提优测评卷七年级下册生物学苏教版参考答案
2021-07-09 10:05:46
江苏人民出版社2021单元双测全程提优测评卷七年级下册生物学苏教版参考答案小编已经为大家收集整理好了,这本书是由江苏人民出版社出版设计,这本书贴合教材设计出版,帮助学生了
江苏人民出版社2021单元双测全程提优测评卷七年级下册道德与法治人教版参考答案
2021-07-09 09:54:26
江苏人民出版社2021单元双测全程提优测评卷七年级下册道德与法治人教版参考答案小编已经为大家收集整理好了,这本书是由江苏人民出版社出版设计,ISBN为9787214197009,感兴趣的