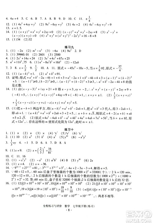
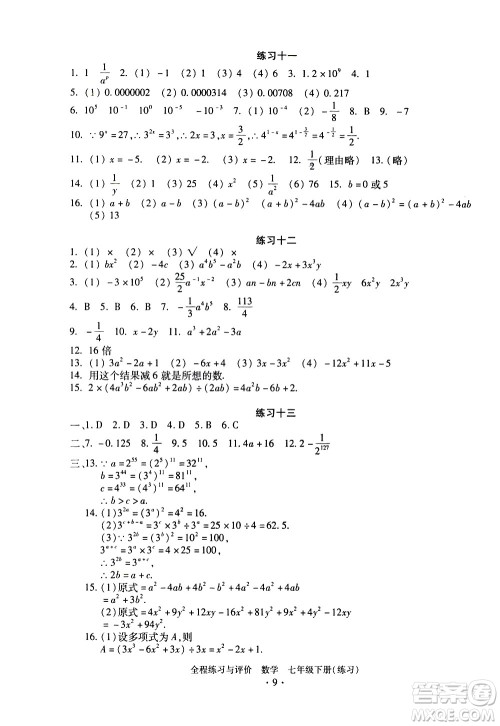
浙江人民出版社2021全程练习与评价练习七年级下册数学ZH浙教版答案小编已经整理好了,正在使用本练习册的伙伴可以来答案圈核对哦!

本书系列的其他年级和科目的答案小编也有整理,需要的伙伴可以在答案圈对应的年级搜索查看


















浙江人民出版社2021全程练习与评价练习七年级下册道德与法治R人教版答案
2021-05-19 17:29:41
浙江人民出版社2021全程练习与评价练习七年级下册道德与法治R人教版答案小编已经整理好了,正在使用本练习册的伙伴可以来答案圈核对哦!浙江人民出版社2021全程练习与评价练习
浙江人民出版社2021全程练习与评价评价六年级下册科学J冀教版答案
2021-05-19 17:08:19
浙江人民出版社2021全程练习与评价评价六年级下册科学J冀教版答案小编已经整理好了,河北教育版本的,正在使用本练习册的伙伴可以来答案圈核对哦!浙江人民出版社2021全程练习与
浙江人民出版社2021全程练习与评价评价六年级下册英语R人教版答案
2021-05-19 16:55:18
浙江人民出版社2021全程练习与评价评价六年级下册英语R人教版答案小编已经整理好了,这次整理的是评价部分的练习册答案,需要的伙伴快来答案圈核对吧浙江人民出版社2021全程练
浙江人民出版社2021全程练习与评价评价六年级下册数学R人教版答案
2021-05-19 16:41:55
浙江人民出版社2021全程练习与评价评价六年级下册数学R人教版答案小编已经整理好了,这次整理的是评价部分的练习册答案,需要的伙伴快来答案圈核对吧浙江人民出版社2021全程练