首页小学初中高中专题
当前位置:首页 > 初中答案网 > 七年级答案

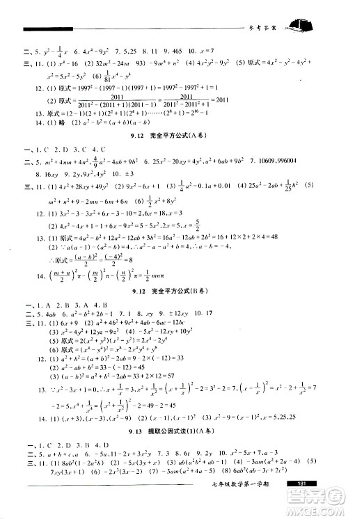
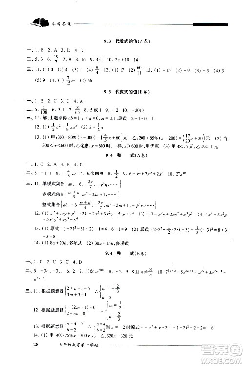
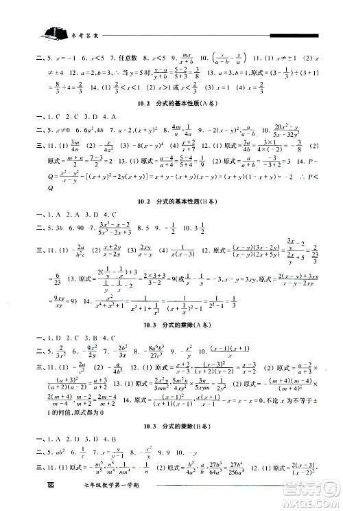
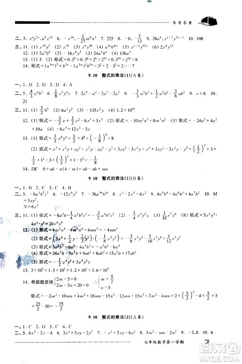
2020我能考第一金牌一课一练数学七年级第一学期人教版答案

时间:2020-12-15 11:26:32    作者:答案圈
标签:
我能考第一金牌一课一练答案

2020我能考第一金牌一课一练数学七年级第一学期人教版答案小编已经整理好了,需要核对参考的伙伴来答案圈看看E2E答案圈

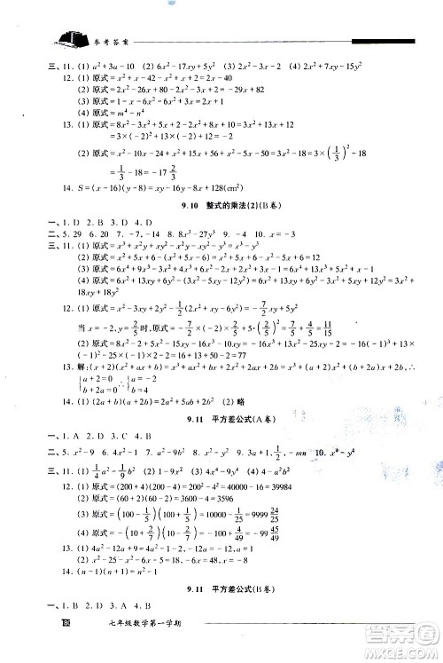
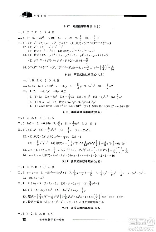
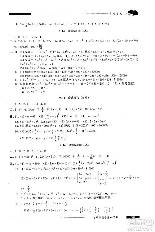
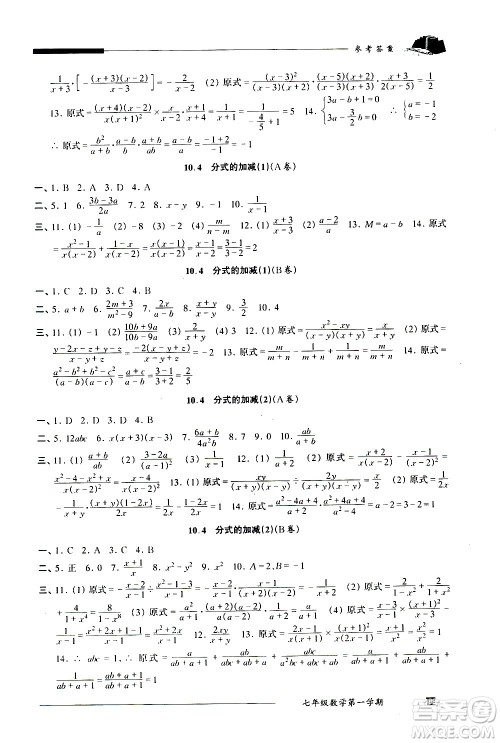
2020我能考第一金牌一课一练数学七年级第一学期人教版答案E2E答案圈

2020我能考第一金牌一课一练数学七年级第一学期人教版答案

本书系列的其他年级和科目的答案小编也有整理,需要核对参考的伙伴直接在答案圈对应的年级搜索即可查看E2E答案圈

2020我能考第一金牌一课一练数学七年级第一学期人教版答案E2E答案圈

2020我能考第一金牌一课一练数学七年级第一学期人教版答案E2E答案圈

2020我能考第一金牌一课一练数学七年级第一学期人教版答案E2E答案圈

2020我能考第一金牌一课一练数学七年级第一学期人教版答案E2E答案圈

2020我能考第一金牌一课一练数学七年级第一学期人教版答案E2E答案圈

2020我能考第一金牌一课一练数学七年级第一学期人教版答案E2E答案圈

2020我能考第一金牌一课一练数学七年级第一学期人教版答案E2E答案圈

2020我能考第一金牌一课一练数学七年级第一学期人教版答案E2E答案圈

2020我能考第一金牌一课一练数学七年级第一学期人教版答案E2E答案圈

2020我能考第一金牌一课一练数学七年级第一学期人教版答案E2E答案圈

2020我能考第一金牌一课一练数学七年级第一学期人教版答案E2E答案圈

2020我能考第一金牌一课一练数学七年级第一学期人教版答案E2E答案圈

2020我能考第一金牌一课一练数学七年级第一学期人教版答案E2E答案圈

2020我能考第一金牌一课一练数学七年级第一学期人教版答案E2E答案圈

2020我能考第一金牌一课一练数学七年级第一学期人教版答案E2E答案圈

2020我能考第一金牌一课一练数学七年级第一学期人教版答案E2E答案圈

2020我能考第一金牌一课一练数学七年级第一学期人教版答案E2E答案圈

2020我能考第一金牌一课一练数学七年级第一学期人教版答案E2E答案圈

2020我能考第一金牌一课一练数学七年级第一学期人教版答案E2E答案圈

2020我能考第一金牌一课一练数学七年级第一学期人教版答案E2E答案圈

查看更多答案
相关文章
天利38套2019-2020初中名校期末联考测试卷数学七年级第一学期人教版答案 2019-12-08 12:10:20

西藏人民出版社出版的天利38套2019-2020初中名校期末联考测试卷数学七年级第一学期人教版的答案已经整理好了,名校期末联考测试卷汇总,含金量还是很高的,很多学校都在使用!天利3

专题推荐

2025年春顶尖课课练下册系列答案

2025黄冈小状元作业本下册答案

2025精彩练习就练这一本系列答案

2025金学典同步解析与测评学练考答案

2024年春一课一练创新练习下册系列答案

2024年高三联考试卷汇总

相关专题
我能考第一金牌一课一练系列答案
课后作业答案
数学
语文
英语
历史
地理
政治
物理
化学
生物
其他
网友留言
最新更新
湖北教育出版社2025年春长江作业本同步练习册七年级地理下册人教版答案
长江作业本 长江作业本答案 长江作业本同步练习册答案 七年级地理下册答案
湖北教育出版社2025年春长江作业本同步练习册七年级道德与法治下册人教版答案
长江作业本 长江作业本答案 长江作业本同步练习册答案 七年级道德与法治答案 七年级道德与法治下册答案
湖北教育出版社2025年春长江作业本同步练习册七年级生物下册人教版答案
长江作业本 长江作业本答案 长江作业本同步练习册答案 七年级生物下册答案 七年级生物学下册答案
湖北教育出版社2025年春长江作业本同步练习册七年级数学下册人教版答案
长江作业本 长江作业本答案 长江作业本同步练习册答案 七年级数学答案 七年级数学下册答案