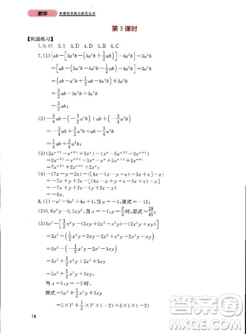
四川教育出版社2020年新课程实践与探究丛书数学七年级上册人教版答案小编已经收集整理好了,练习完就来核对一下吧!

本书系列的其他年级科目的答案小编也有整理,大家可以根据自己的需要直接在对应的年级搜索即可
















南京师范大学出版社2022秋教材帮初中历史七年级上册人教版答案
2020-09-21 14:21:38
南京师范大学出版社2022秋教材帮初中历史七年级上册人教版答案小编已经整理好了,需要核对答案的伙伴可以来看看南京师范大学出版社2022秋教材帮初中历史七年级上册人教版答案
四川教育出版社2020年新课程实践与探究丛书中国历史七年级上册人教版答案
2020-09-21 13:45:41
四川教育出版社2020年新课程实践与探究丛书中国历史七年级上册人教版答案小编已经整理好了,需要核对答案的伙伴可以来看看四川教育出版社2020年新课程实践与探究丛书中国历史
江西高校出版社2020年金太阳导学案数学七年级上册人教版答案
2020-09-20 10:38:45
江西高校出版社2020年金太阳导学案数学七年级上册人教版答案小编已经整理好了,需要核对答案的伙伴可以来看看江西高校出版社2020年金太阳导学案数学七年级上册人教版答案本书
2019年新课程实践与探究丛书数学八年级上册华东师大版参考答案
2020-09-16 10:58:47
2019年新课程实践与探究丛书数学八年级上册华东师大版参考答案小编已经整理好发布在答案圈了,感兴趣的来看看吧!2019年新课程实践与探究丛书数学八年级上册华东师大版参考答案
2021新课程实践与探究丛书七上系列答案