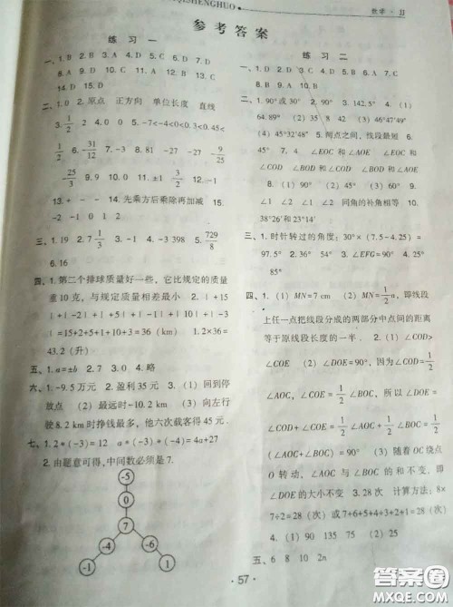
河北人民出版社2020年假期生活寒假七年级数学冀教版答案已经分享给大家,更新到的是数学学科冀教版的答案,做完作业不妨来对对答案,答案如下,仅供参考。

ISBN:9787202033388,书名:假期生活寒假,学科:七年级数学,版本:冀教版,出版社:河北人民出版社






2020名校学案课课小考卷课堂十分钟七年级数学上册北师大版答案
2020-08-31 17:39:02
小编这次收集整理的是2020名校学案课课小考卷课堂十分钟七年级数学上册北师大版的答案,使用这本练习册的可以来检查一下,看看自己做的对不对,不要直接照抄答案哦!2020名校学案课
2020名校学案课课小考卷课堂十分钟七年级英语上册冀教版答案
2020-08-31 17:25:47
名校学案课课小考卷课堂十分钟七年级英语上册冀教版的答案小编已经收集整理好了,做完了之后可以来检查一下,看看自己做的对不对,不要直接照抄答案哦!2020名校学案课课小考卷课堂
新疆青少年出版社2020年暑假作业七年级数学人教版参考答案
2020-08-31 14:55:24
新疆青少年出版社2020年暑假作业七年级数学人教版参考答案更新啦,使用暑假作业系列的同学做完习题不妨来对对答案吧,各个年级学科的答案小编都有更新,答案如下,仅供参考。新疆青
河南大学出版社2020快乐暑假天天练七年级数学生物答案
2020-08-31 14:31:14
2020快乐暑假天天练七年级数学生物的答案小编已经收集整理好了,做完了之后可以来检查一下,看看自己做的对不对,不要直接照抄答案哦!河南大学出版社2020快乐暑假天天练七年级数学