上海科学技术出版社2020年数学暑假作业七年级沪科版答案小编已经收集整理好了,感兴趣的伙伴来答案圈了解一下吧!

本书系列的其他年级和科目的答案小编也有整理收集,大家可以根据自己的需要在对应的年级搜索查看





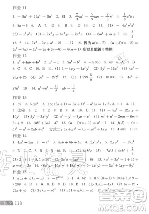
大象出版社2020数学暑假作业本八年级北师大版答案
2020-07-17 13:51:57
数学暑假作业本八年级北师大版的答案小编已经收集整理好了,做完了之后可以来检查一下,看看自己做的对不对,这个系列的还有其他学科的哦,直接站内搜书名吧!大象出版社2020数学暑假
大象出版社2020数学暑假作业本七年级北师大版答案
2020-07-17 11:50:34
2020数学暑假作业本七年级北师大版答案小编已经收集整理好了,做完了之后可以来检查一下,看看自己做的对不对,不要直接照抄答案哦,其他学科的和其他年级的直接站内搜书名吧!大象出
长江少年儿童出版社2020年数学暑假作业五年级参考答案
2020-07-08 14:28:03
长江少年儿童出版社2020年数学暑假作业五年级参考答案小编已经收集整理好了,感兴趣的伙伴来答案圈了解一下吧!长江少年儿童出版社2020年数学暑假作业五年级参考答案本书系列的
海天出版社2020年数学暑假作业四年级人教版参考答案
2020-07-08 10:13:33
海天出版社2020年数学暑假作业四年级人教版参考答案小编已经收集整理好了,感兴趣的伙伴来答案圈了解一下吧!海天出版社2020年数学暑假作业四年级人教版参考答案本书系列的其他