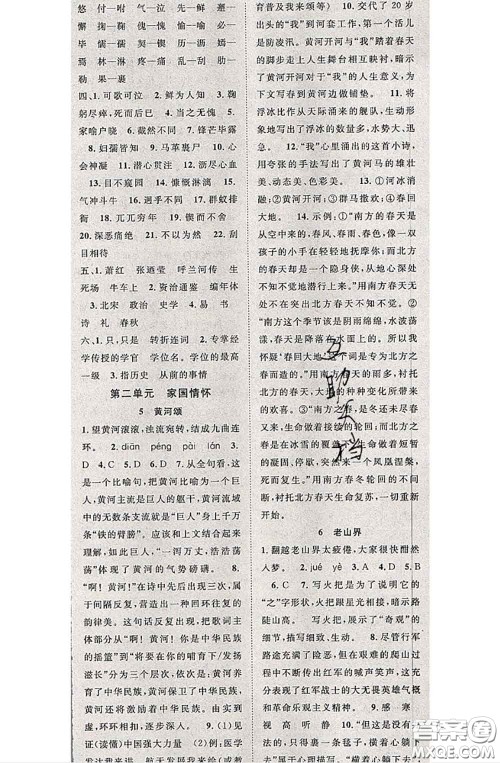
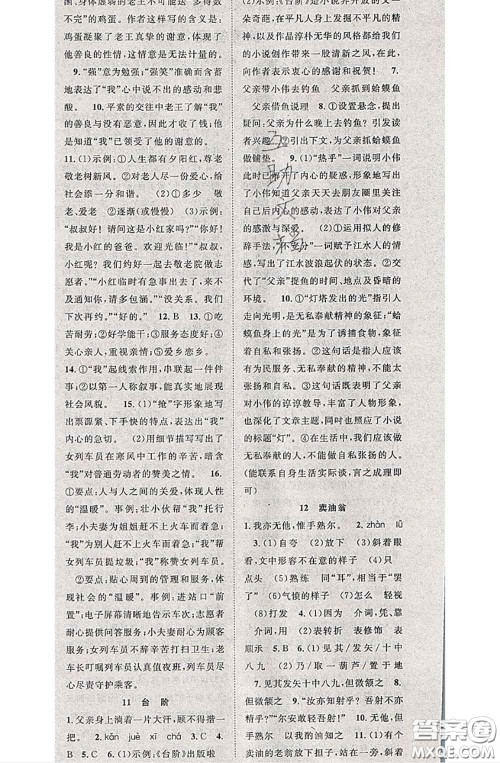
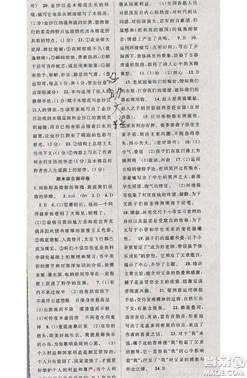
2020春优质课堂导学案七年级语文下册人教版答案更新啦,最新下学期答案来喽,优质课堂导学案系列下学期答案小编已经整理了很多,同学们做完习题不妨看看参考参考,答案如下。

书名:优质课堂导学案,学科:七年级语文,版本:人教版,出版社:长江少年儿童出版社
























2020春优质课堂导学案七年级数学下册人教版答案
2020-06-12 16:45:06
2020春优质课堂导学案七年级数学下册人教版答案更新啦,最新下学期答案来喽,优质课堂导学案系列下学期答案小编已经整理好,同学们做完习题不妨来对对答案,答案如下。2020春优质课
2020春优质课堂导学案三年级英语下册人教版答案
2020-06-12 16:32:54
2020春优质课堂导学案三年级英语下册人教版答案已经分享给大家,使用优质课堂导学案系列的同学做完习题不妨来对对答案吧,答案如下,仅供参考。2020春优质课堂导学案三年级英语下
2020春优质课堂导学案三年级语文下册人教版答案
2020-06-12 16:19:37
2020春优质课堂导学案三年级语文下册人教版答案更新啦,最新下学期答案小编已经整理了很多,各个年级学科的答案小编都有更新,答案如下,仅供参考。2020春优质课堂导学案三年级语文
2020春优质课堂导学案三年级数学下册人教版答案
2020-06-12 16:06:41
2020春优质课堂导学案三年级数学下册人教版答案更新啦,最新下学期答案来喽,优质课堂导学案系列下学期答案小编已经整理了很多,尽在答案圈,需要不妨看看吧。2020春优质课堂导学案