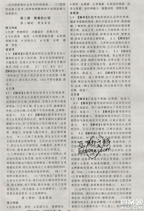
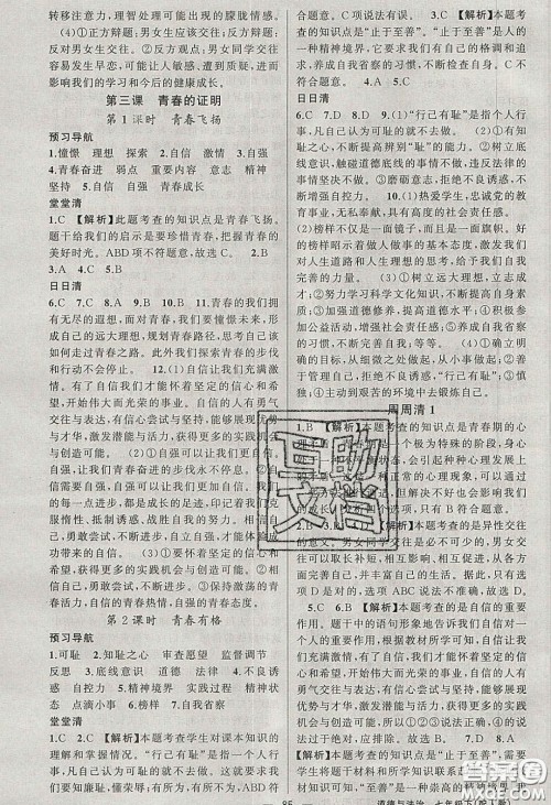
猎豹图书系列小编这次收集整理的是七年级道德与法治下册人教版的答案,当然其他学科的和其他年级的直接站内搜书名就可以搜到对应的。这个系列的小编收集整理还是蛮多的,快来看看吧!

七年级道德与法治下册答案如下,仅供参考!
















猎豹图书2020年四清导航七年级数学下册人教版答案
2020-03-19 09:54:55
四清导航系列七年级数学下册人教版的答案小编已经收集整理好了,做完了题目之后可以来看看,检查一下自己做的对不对,其他学科的和其他年级的直接站内搜书名就行了!猎豹图书2020年
猎豹图书2020年四清导航七年级生物下册人教版答案
2020-03-19 09:28:31
小编这次收集整理的是四清导航七年级生物下册人教版答案,使用这本的可以来看看,检查一下自己做的对不对,不要直接照抄!做完了再来查看哦!猎豹图书2020年四清导航七年级生物下册人
猎豹图书2020年四清导航七年级数学下册沪科版答案
2020-03-19 09:15:47
小编这次收集整理的是猎豹图书2020年四清导航七年级数学下册沪科版的答案,使用这个系列七年级数学下册沪科版教辅的可以来看看,检查一下自己做的对不对,不要直接照抄哦!猎豹图书
猎豹图书2020年四清导航七年级数学下册华师大版答案
2020-03-19 09:07:57
小编这次收集整理的是四清导航七年级数学下册华师大版的答案,使用七年级数学下册华师大版的教辅的可以来看看,检查自己做的对不对,不要直接照抄哦!猎豹图书2020年四清导航七年级
2022四清导航下册系列答案