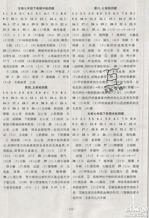
宁夏人民教育出版社出版的2020畅优新课堂七年级生物下册人教版的答案小编收集整理的如下,仅供参考不要直接照抄,当然其他学科的和其他年级的直接站内搜畅优新课堂即可,快来看看!

七年级生物下册人教版答案如下,仅供参考!








宁夏人民教育出版社2020畅优新课堂七年级数学下册人教版答案
2020-02-18 15:40:02
宁夏人民出版社出版的畅优新课堂系列小编这次收集整理的七年级数学下册人教版的答案如下,仅供参考,不要直接照抄,其他学科的可以自行在站内搜畅优新课堂即可!宁夏人民教育出版社
宁夏人民教育出版社2020畅优新课堂七年级英语下册人教版答案
2020-02-18 15:28:05
小编这次收集整理的是宁夏人民教育出版社2020畅优新课堂七年级英语下册人教版的答案,在做完了之后可以来答案圈检查一下,看看自己做的对不对哦,其他学科的直接站内搜畅优新课堂
宁夏人民教育出版社2020畅优新课堂七年级数学下册北师大版答案
2020-02-18 15:14:27
小编这次收集整理的是宁夏人民教育出版社2020畅优新课堂七年级数学下册北师大版的答案如下,这本是北师大版的,小编还收集整理了人教版、沪科版、华师大版的,快来搜搜看吧,搜书名
宁夏人民教育出版社2020畅优新课堂七年级英语下册冀教版答案
2020-02-18 14:57:39
小编这次收集整理的宁夏人民教育出版社出版的2020畅优新课堂七年级英语下册冀教版的答案如下,做完了的可以来答案圈检查一下,这本主要是河北地区的使用哦,其他的站内搜畅优新课