小编这次收集整理的是中西书局2020快乐寒假寒假能力自测七年级数学的答案,在做完之后可以来答案圈了解一下,看看自己做的对不对!

答案如下,仅供参考!













阳光出版社2020假日时光假期总动员寒假七年级英语人教版答案
2020-01-12 11:09:09
小编这次收集整理的是阳光出版社2020假日时光假期总动员寒假七年级英语人教版的答案,在做完之后可以来答案圈了解一下啊,看看自己做的对不对!阳光出版社2020假日时光假期总动员
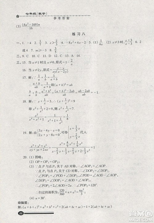
阳光出版社2020假日时光假期总动员寒假七年级数学人教版答案
2020-01-12 11:09:09
小编这次收集整理的是阳光出版社2020假日时光假期总动员寒假七年级数学人教版的答案,在做完之后可以来答案圈了解一下,看看自己做的对不对!阳光出版社2020假日时光假期总动员寒
阳光出版社2020假日时光假期总动员寒假七年级语文人教版答案
2020-01-12 11:09:08
小编这次收集整理的是阳光出版社2020假日时光假期总动员寒假七年级语文人教版的答案,在做完之后可以来答案圈了解一下,看看自己做的对不对!阳光出版社2020假日时光假期总动员寒
河北教育出版社2020年小学生寒假培优衔接训练3年级数学答案
2020-01-12 11:09:07
小编这次收集整理的是河北教育出版社2020年小学生寒假培优衔接训练3年级数学的答案,做完了的可以来答案圈了解一下,看看自己做的对不对!河北教育出版社2020年小学生寒假培优衔
七年级寒假作业答案