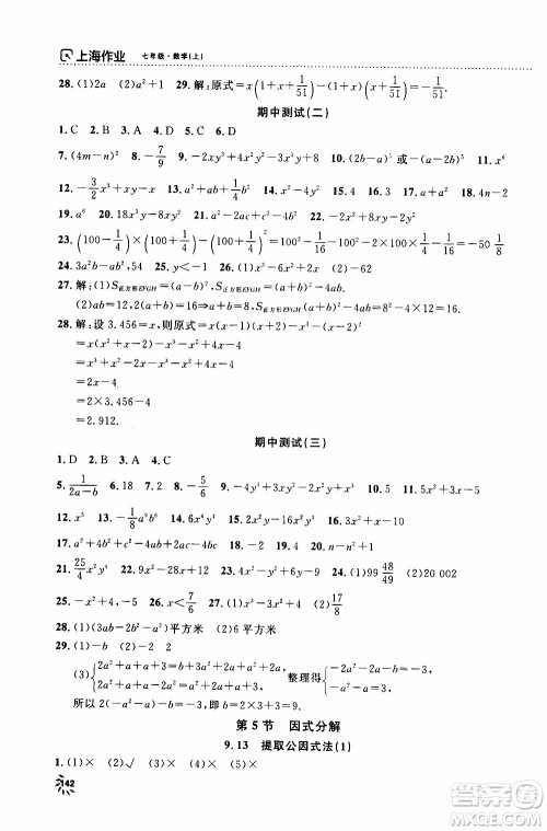
钟书金牌2019年上海作业七年级上数学参考答案小编已经收集整理好了,结合上海地区的教材编写的辅导练习,练习完的伙伴快来看看吧!

出版社名称:上海大学出版社。本书系列的其他年级和科目的答案小编也有整理,需要的伙伴直接在答案圈对应年级搜索即可查看
























钟书金牌2019年上海作业八年级上语文部编版参考答案
2019-11-16 10:17:14
钟书金牌2019年上海作业八年级上语文部编版参考答案小编已经收集整理好了,大家可以来核对一下做好查漏补缺钟书金牌2019年上海作业八年级上语文部编版参考答案出版社名称:上
钟书金牌2019年上海作业七年级上语文部编版参考答案
2019-11-16 10:08:32
钟书金牌2019年上海作业七年级上语文部编版参考答案小编已经收集整理好了,大家可以来核对一下做好查漏补缺钟书金牌2019年上海作业七年级上语文部编版参考答案出版社名称:上
钟书金牌2019年上海作业九年级上数学参考答案
2019-11-16 09:59:32
钟书金牌2019年上海作业九年级上数学参考答案小编已经收集整理好了,大家可以来核对一下做好查漏补缺钟书金牌2019年上海作业九年级上数学参考答案出版社名称:上海大学出版社
钟书金牌2019年上海作业三年级上数学参考答案
2019-11-15 16:01:58
钟书金牌2019年上海作业三年级上数学参考答案ISBN编号9787567112063小编已经收集整理好了,全新修订版结合教材更好的巩固所学,伙伴们要注意核对哦钟书金牌2019年上海作业三年