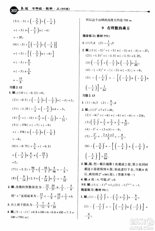
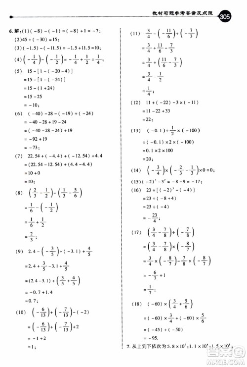
2019年荣德基特高级教师点拨数学七年级上BS版北师版参考答案小编已经整理在答案圈了,大家练习后来答案圈核对一下吧!

ISBN编号9787545068009出版社名称:陕西人民教育出版社。其他年级和科目的答案小编也有整理,需要核对参考的伙伴直接在答案圈搜索即可




























































2019年荣德基特高级教师点拨数学八年级上BS版北师版参考答案
2019-10-12 10:47:01
2019年荣德基特高级教师点拨数学八年级上BS版北师版参考答案小编已经整理在答案圈了,大家练习后来答案圈核对一下吧!2019年荣德基特高级教师点拨数学八年级上BS版北师版参考
2019年荣德基特高级教师点拨化学九年级上R版人教版参考答案
2019-10-12 09:42:01
2019年荣德基特高级教师点拨化学九年级上R版人教版参考答案小编已经整理在答案圈了,大家练习后来答案圈核对一下吧!2019年荣德基特高级教师点拨化学九年级上R版人教版参考答
2019年荣德基特高级教师点拨英语九年级上R版人教版参考答案
2019-10-12 09:28:44
2019年荣德基特高级教师点拨英语九年级上R版人教版参考答案小编已经整理在答案圈了,大家练习后来答案圈核对一下吧!2019年荣德基特高级教师点拨英语九年级上R版人教版参考答
2019年荣德基特高级教师点拨数学九年级上BS版北师版参考答案
2019-10-12 09:23:01
2019年荣德基特高级教师点拨数学九年级上BS版北师版参考答案小编已经整理在答案圈了,大家练习后来答案圈核对一下吧!2019年荣德基特高级教师点拨数学九年级上BS版北师版参考
2019特高级教师点拨系列答案