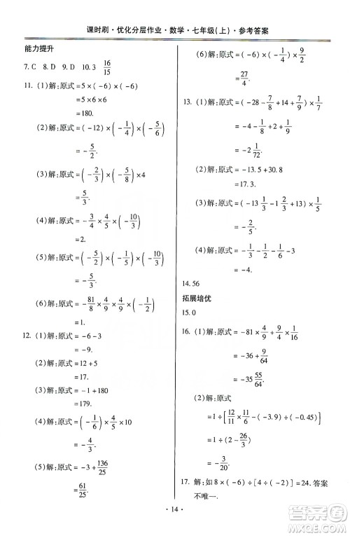
小编这次收集整理的是驰逐文化2019课时刷优化分层作业7年级数学上册答案,这本也是云南本地常用的学生教辅之一,很多学校都在使用,快来看看吧!

答案如下,仅供参考!




















































以上便是全部答案了,仅供参考!
驰逐文化2019课时刷优化分层作业七年级英语上册昆明专版答案
2019-08-29 11:35:05
小编收集整理的是驰逐文化推出的课时刷优化分层作业七年级英语上册的答案,做完了之后可以来答案圈核对,其他学科的和其他年级的也可以在答案圈内找到哦!驰逐文化2019课时刷优化
驰逐文化2019课时刷优化分层作业八年级物理上册昆明专版答案
2019-08-29 11:31:13
小编收集整理的是驰逐文化2019课时刷优化分层作业八年级物理上册的答案,在做完之后可以来答案圈了解一下,看看自己做的对不对。驰逐文化2019课时刷优化分层作业八年级物理上册
驰逐文化2019课时刷优化分层作业八年级数学上册答案
2019-08-29 11:07:54
小编这次收集整理的是驰逐文化2019课时刷优化分层作业八年级数学上册的答案,在做完之后可以来答案圈了解一下,看看自己的答案是否正确!驰逐文化2019课时刷优化分层作业八年级数
驰逐文化2019课时刷优化分层作业八年级英语上册答案
2019-08-29 10:49:45
这次收集整理的是云南名校常用的教辅,2019课时刷优化分层作业八年级英语上册的答案,使用这套的可以来答案圈了解一下!驰逐文化2019课时刷优化分层作业八年级英语上册昆明专版答
2019课时刷优化分层作业答案