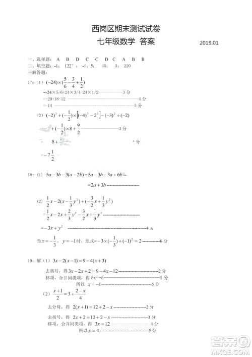
大连地区西岗区的初一上学期期末考试数学的答案小编已经收集整理好了, 其他区的也有直接搜大连+区名即可,还是非常方便快捷的!

初一上学期期末考试的数学答案如下,其他学科和其他区可以在答案圈内直接搜到,解析也很详细!


认真分析丢分原因,有时候考试也有偶然性,恰巧碰到自己不擅长的题,复习时遗忘的题,计算过程相对复杂的题,自然分数就不理想了;再有就是临场发挥的问题,有些平时反复练过的,怎么一上考场就懵了,心理素质、紧张都有关系。从结果来看,120总分只考了5分,的却有点惨不忍睹,但认真分析总结后,提高自己复习能力,心理承受能力,临场发挥能力,是不是下次就可以进步啦?学习嘛,慢慢来,老是想短期内考高分,这也不是每个孩子都能做到的,循序渐进,扎实基础,争取下次考分翻倍,这样就可以振奋精神,提升自信,最终达到良性循环!
2019年大连西岗区初一上学期期末考试语文试卷答案
2019-01-14 13:45:27
大连西岗区的初一上学期期末语文考试的试卷答案如下,在做完之后可以来答案圈核对一下,其他区的可以直接搜大连+区名即可搜到,还是非常方便快捷的!2019年大连西岗区初三上学期期
2018年北京八中八年级上学期期末考试物理试卷答案
2019-01-14 11:49:02
小编这次收集整理的是北京八中的期末考试物理的试卷答案,这次收集的也是八年级的,其他年级和其他地区的都有收集整理,我们有专题哦!2018年北京八中八年级上学期期末考试物理试卷
洛阳西工区2018-2019学年六年级上学期数学期末试卷答案
2019-01-14 11:33:35
洛阳西工区六年级上学期的期末考试数学答案如下,其他答案可以在答案圈内直接搜西工区即可搜到,小编整理的还是比较全面的!洛阳西工区2018-2019学年六年级上学期数学期末试卷答
洛阳西工区2018-2019学年六年级上学期语文期末试卷答案
2019-01-14 10:54:47
洛阳西工区六年级上学期期末考试语文试卷答案如下,其他学科可以在答案圈内直接搜西工区即可搜到,还是非常方便快捷的!洛阳西工区2018-2019学年六年级上学期语文期末试卷答案答
2019初中上学期期末考试答案