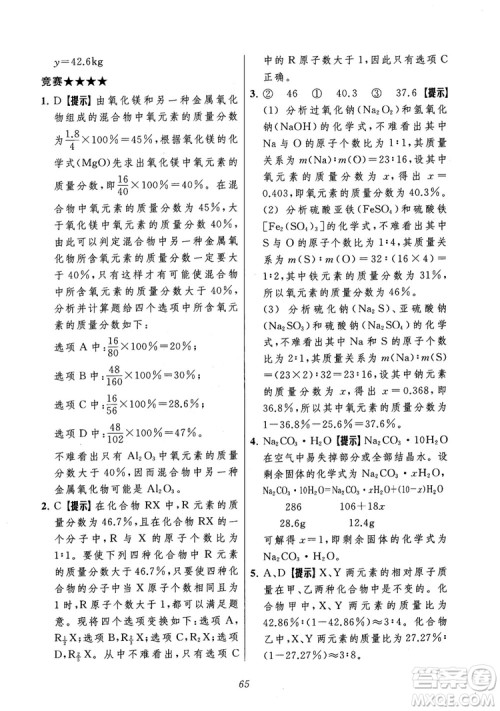
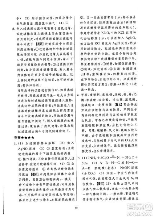
2018年常春藤初中四星级题库化学参考答案,小编已经收集了完备的答案,需要的来答案圈查询

涵盖初中化学所有考点,全面辅导学生提高化学成绩,在练习后再核对答案这样提高更有效哦!























































































































































化学其实很单一,不像其他科目那样复杂,化学的学习要一环套一环的进行,比如说刚开始是原子到分子再到元素,最后是有机物和无机物,再把这些物质放在一起进行化学反应,通过化学反应得到反应现象和反应结果,最后给出这个担心的化学方程式,等等这些知识都是关联在一起的,所以化学的提高很容易,如果你现在只能得到十几分,那你的基础可以说基本上没有,那你就要从我刚才说到的原子那开始了,然后在一步步的往后进行,我高中的时候有一个口袋本,我每天不管是吃饭还是跑操都带着,有空的时候就拿出来看看,虽然时间很短,但是这一点点的时间你就比别人多学习和巩固好多知识点,这个方法希望对更多的同学有帮助。
2018年秋初中四星级题库物理第6版参考答案
2018-10-07 06:41:17
2018年秋初中四星级题库物理第6版参考答案,小编已经收集好了,感兴趣的来了解一下2018年秋初中四星级题库物理第6版参考答案本书由上海科技教育出版社出版,全面为学生讲解物理疑
初中四星级题库语文第6版2018参考答案
2018-10-07 06:22:27
初中四星级题库语文第6版2018参考答案,小编已经更新在答案圈感兴趣的进来了解一下初中四星级题库语文第6版2018参考答案ISBN编号:9787542858825本书由上海科技教育出版社出版
2018年初中四星级题库数学第六版参考答案
2018-10-07 06:22:27
2018年初中四星级题库数学第六版参考答案,小编已经整理好答案需要的来答案圈了解2018年初中四星级题库数学第六版参考答案这次小编收集的答案很详细,大家在练习中遇到不会的都
2018年初中四星级题库英语第5版参考答案
2018-10-02 07:07:08
2018年初中四星级题库英语第5版参考答案,小编已经收集在答案圈了,感兴趣的同学来看看2018年初中四星级题库英语第5版参考答案ISBN编号: 9787542851833上海科技教育出版社,丁卯
2018四星级题库答案