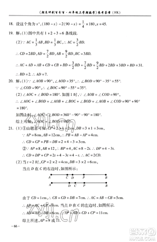
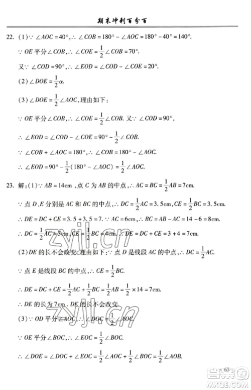
小编整理了合肥工业大学出版社2022期末冲刺百分百七年级数学上册沪科版参考答案,欢迎大家积极查阅。初一年级的数学科目是很重要的,我们要打好基础,这样才能在初三年级拿到好成绩,务必要多做练习哦。

答案如下:
























沈阳出版社2022期末冲刺必备模拟试卷七年级数学上册北师大版参考答案
2022-12-23 10:53:43
小编整理了沈阳出版社2022期末冲刺必备模拟试卷七年级数学上册北师大版参考答案,欢迎大家积极查阅。这是为七年级学生提供的数学练习册答案,或许你没有在做这套试卷,但是多个选
广西教育出版社2022新课程学习与测评同步学习七年级数学上册湘教版参考答案
2022-12-20 15:47:51
今天分享广西教育出版社2022新课程学习与测评同步学习七年级数学上册湘教版参考答案,欢迎大家积极查阅。进入初一,大家的学习内容增多了,为了拿到好成绩,多做练习是有必要的。当
广西师范大学出版社2022新课程学习与测评单元双测七年级数学上册沪科版C版参考答案
2022-12-10 13:33:50
小编今天整理了广西师范大学出版社2022新课程学习与测评单元双测七年级数学上册沪科版C版参考答案,欢迎大家积极查阅。这是针对七年级学生的练习册答案,希望能够帮助你们提升
广西师范大学出版社2022新课程学习与测评单元双测七年级数学上册湘教版B版参考答案
2022-12-10 11:59:52
在初一年级,数学科目的难度会增加,大家要尽快适应过来,抓住课堂时间,把知识理解透彻。今天分享广西师范大学出版社2022新课程学习与测评单元双测七年级数学上册湘教版B版参考答案,感