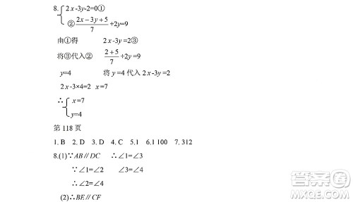
黑龙江少年儿童出版社2022Happy假日暑假七年级数学人教版答案小编已经收集整理好了,针对学生暑假学习和新学期衔接,让学生在假期复习上一学期知识点的同时预习下学期学习内容,帮助学生更好更快的融入新学期的学习中,练习完的伙伴可以来答案圈核对一下答案!

本书系列的其他年级和科目小编也有整理收集,需要核对答案的伙伴可以来答案圈对应的年级搜索查看!


















黑龙江少年儿童出版社2022Happy假日暑假七年级语文人教版答案
2022-07-26 10:52:47
黑龙江少年儿童出版社2022Happy假日暑假七年级语文人教版答案小编已经收集整理好了,针对学生暑假学习和新学期衔接,让学生在假期复习上一学期知识点的同时预习下学期学习内容,
黑龙江少年儿童出版社2022Happy假日暑假五四学制八年级数学人教版答案
2022-07-26 10:28:06
黑龙江少年儿童出版社2022Happy假日暑假五四学制八年级数学人教版答案小编已经收集整理好了,针对学生暑假学习和新学期衔接,让学生在假期复习上一学期知识点的同时预习下学期
黑龙江少年儿童出版社2022Happy假日暑假五四学制七年级数学人教版答案
2022-07-26 10:16:25
黑龙江少年儿童出版社2022Happy假日暑假五四学制七年级数学人教版答案小编已经收集整理好了,针对学生暑假学习和新学期衔接,让学生在假期复习上一学期知识点的同时预习下学期
黑龙江少年儿童出版社2022Happy假日暑假五四学制七年级英语鲁教版答案
2022-07-26 09:36:21
黑龙江少年儿童出版社2022Happy假日暑假五四学制七年级英语鲁教版答案小编已经收集整理好了,针对学生暑假学习和新学期衔接,让学生在假期复习上一学期知识点的同时预习下学期