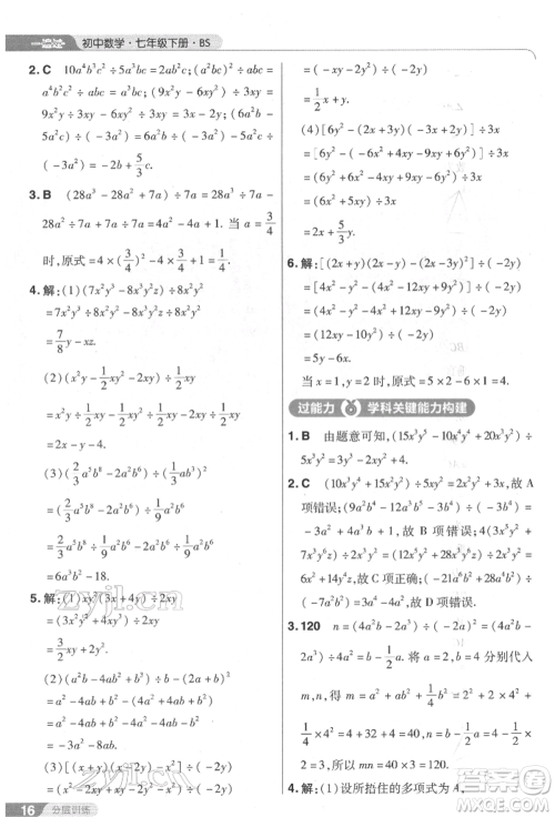
南京师范大学出版社2022一遍过七年级数学下册北师大版参考答案小编已经为大家收集整理好了,本书是由南京师范大学出版社出版设计,喜欢本书的同学,快来答案圈看看吧!

答案如下:
































































































南京师范大学出版社2022一遍过七年级语文下册人教版参考答案
2022-03-02 08:19:38
南京师范大学出版社2022一遍过七年级语文下册人教版参考答案小编已经为大家收集整理好了,本书是由南京师范大学出版社出版,本书将阅读方法、解题方法、口语及书面表达方法巧妙
南京师范大学出版社2022一遍过六年级数学下册北师大版参考答案
2022-03-02 08:09:13
南京师范大学出版社2022一遍过六年级数学下册北师大版参考答案小编已经为大家收集整理好了,本书是由南京师范大学出版社出版设计,如果大家喜欢这本书的话,不妨多用本书做做练习
南京师范大学出版社2022一遍过六年级数学下册苏教版参考答案
2022-03-02 07:58:03
南京师范大学出版社2022一遍过六年级数学下册苏教版参考答案小编已经为大家收集整理好了,本书是由南京师范大学出版社出版设计,有做完本书练习题的同学,可以到答案圈查阅参考哦
南京师范大学出版社2022一遍过六年级英语下册人教版浙江专版参考答案
2022-03-01 17:06:14
南京师范大学出版社2022一遍过六年级英语下册人教版浙江专版参考答案小编已经为大家收集整理好了,喜欢英语的同学,做完题目后,可以到答案圈查阅本书的习题哦!南京师范大学出版社
2022初中一遍过下册系列答案