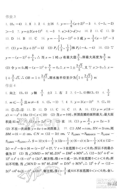
上海科学技术出版社2022数学寒假作业九年级沪科版答案小编为大家整理好了,本书由上海科学技术出版社出版,书中把九年级上下学期的知识结合起来,力求新颖、灵活、多样,各类题型涵盖教学的重点、难点,循序渐进,做完作业的小伙伴们快来答案圈看看自己做的怎么样吧!

参考答案如下,欢迎同学们查阅。





上海科学技术出版社2022数学寒假作业七年级沪科版答案
2022-02-09 08:27:23
上海科学技术出版社2022数学寒假作业七年级沪科版答案小编为大家整理好了,本书由上海科学技术出版社出版,书中把七年级上下学期的知识结合起来,一日一练,加强基础知识的练习,巩固
上海科学技术出版社2022数学寒假作业八年级沪科版答案
2022-02-08 09:21:55
上海科学技术出版社2022数学寒假作业八年级沪科版答案小编为大家整理好了,本书由上海科学技术出版社出版,书中把八年级上下学期的知识结合起来,按新课程标准的要求,分考点梳理知
天津科学技术出版社2022春如金卷八年级数学寒假作业本通用版参考答案
2022-01-26 14:02:08
天津科学技术出版社2022春如金卷八年级数学寒假作业本通用版参考答案小编已经为大家收集整理好了,本书是由天津科学技术出版社出版设计,这本书贴合教材设计出版,帮助学生了解并
河北人民出版社2021假期生活五年级寒假数学答案
2021-02-13 11:36:01
2021假期生活五年级寒假数学的答案小编收集整理如下,使用这本寒假作业的可以做完了来检查一下,看看自己做的对不对,不要照抄答案!河北人民出版社2021假期生活五年级寒假数学答案