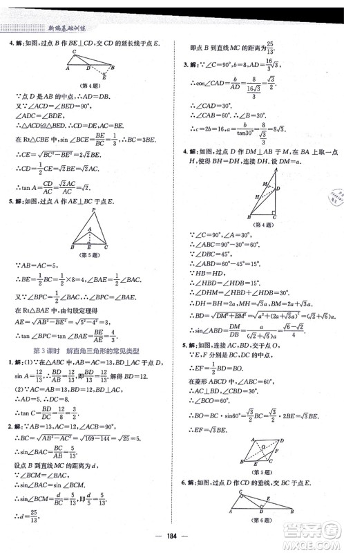
安徽教育出版社2021新编基础训练九年级数学上册通用版S答案小编为同学们收集整理好了,本书是由安徽教育出版社出版发行的初中课时练习册,重视基础巩固,着力综合运用,帮助学生理解、吃透重难点,是提升成绩的好帮手,同学们做完题目可以来答案圈核对一下,效率更高哦!

参考答案下图所示,需要其他版本或科目的参考资料,也可以在答案圈搜索对应内容找到哦。




































































安徽教育出版社2021新编基础训练九年级道德与法治上册人教版答案
2021-10-29 09:05:04
安徽教育出版社2021新编基础训练九年级道德与法治上册人教版答案小编为同学们收集整理好了,本书是由安徽教育出版社出版发行的初中课时练习册,从知识的方法点、综合点、拓展点
安徽教育出版社2021新编基础训练九年级数学上册北师大版答案
2021-10-29 08:48:13
安徽教育出版社2021新编基础训练九年级数学上册北师大版答案小编为同学们整理好了,本书是由安徽教育出版社出版发行的初中课时练习册,习题紧贴课堂教学,采用新课标新理念,抓住重
安徽教育出版社2021新编基础训练九年级英语上册译林版答案
2021-10-29 08:39:46
安徽教育出版社2021新编基础训练九年级英语上册译林版答案小编为同学们收集整理好了,本书是由安徽教育出版社出版发行的初中课时练习册,对课本知识点进行回顾,讲明白,学透彻,专题
安徽教育出版社2021新编基础训练九年级英语上册外研版答案
2021-10-29 08:26:31
安徽教育出版社2021新编基础训练九年级英语上册外研版答案小编为同学们收集整理好了,本书是由安徽教育出版社出版发行的初中课时练习册,专题考点与教材同步,边学边练,夯实基础,融
2021九年级新编基础训练上册系列答案